

Hãy luôn nhớ cảm ơn và vote 5*
nếu câu trả lời hữu ích nhé!

Đáp án:
m=-1
Giải thích các bước giải:
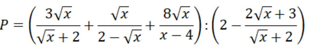
\(\begin{array}{l}
P = \left[ {\dfrac{{3\sqrt x \left( {\sqrt x - 2} \right) - \sqrt x \left( {\sqrt x + 2} \right) + 8\sqrt x }}{{\left( {\sqrt x + 2} \right)\left( {\sqrt x - 2} \right)}}} \right]:\dfrac{{2\sqrt x + 4 - 2\sqrt x - 3}}{{\sqrt x + 2}}\\
= \dfrac{{3x - 6\sqrt x - x - 2\sqrt x + 8\sqrt x }}{{\left( {\sqrt x + 2} \right)\left( {\sqrt x - 2} \right)}}.\dfrac{{\sqrt x + 2}}{1}\\
= \dfrac{{2x}}{{\sqrt x - 2}}\\
P.\left( {\sqrt x - 2} \right) + \sqrt x \left( {m - 2} \right) - \sqrt x = m - 1\\
\to \dfrac{{2x}}{{\sqrt x - 2}}.\left( {\sqrt x - 2} \right) + \sqrt x \left( {m - 2} \right) - \sqrt x = m - 1\\
\to 2x + \left( {m - 2} \right)\sqrt x - \sqrt x = m - 1\\
\to 2x + \left( {m - 3} \right)\sqrt x - m + 1 = 0\left( 1 \right)
\end{array}\)
Để phương trình (1) có đúng 1 nghiệm
\(\begin{array}{l}
\to \Delta = 0\\
\to {m^2} - 6m + 9 - 8\left( { - m + 1} \right) = 0\\
\to {m^2} - 6m + 9 + 8m - 8 = 0\\
\to {m^2} + 2m + 1 = 0\\
\to {\left( {m + 1} \right)^2} = 0\\
\to m = - 1
\end{array}\)
Hãy giúp mọi người biết câu trả lời này thế nào?

Bảng tin