

Hãy luôn nhớ cảm ơn và vote 5*
nếu câu trả lời hữu ích nhé!

Chúc bạn học tốt!!!
Đáp án:
Giải thích các bước giải:
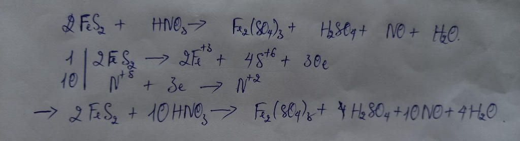
Bạn tham khảo ảnh.
Hãy giúp mọi người biết câu trả lời này thế nào?
![]()
Đáp án:
` FeS_2 + HNO_3 \to Fe_2(SO_4)_3 + H_2SO_4 + NO + H_2O`
Đặt số oxi hóa của hợp chất ` FeS_2` là `O`
Ta có
`2 \overset(0) (FeS_2) \to 2 \overset(+3)(Fe) + 4\overset(6)S + 30e`
` \overset(+5)(N) + 3e \to \overset(+2)(N)` `\to \times 10`
` => 2FeS_2 + 10HNO_3 \to Fe_2(SO_4)_3 + H_2SO_4 + 10NO + 4H_2O`
p/s : latex hóa chưa dùng bao giờ nên hơi lâu ạ .___.
Hãy giúp mọi người biết câu trả lời này thế nào?
Bảng tin
0
0
0
cho mình hỏi cáicái, bài này có nằm trong chương trình lớp 10 không hay đây là bài nâng cao vậy ạ?