

Hãy luôn nhớ cảm ơn và vote 5*
nếu câu trả lời hữu ích nhé!

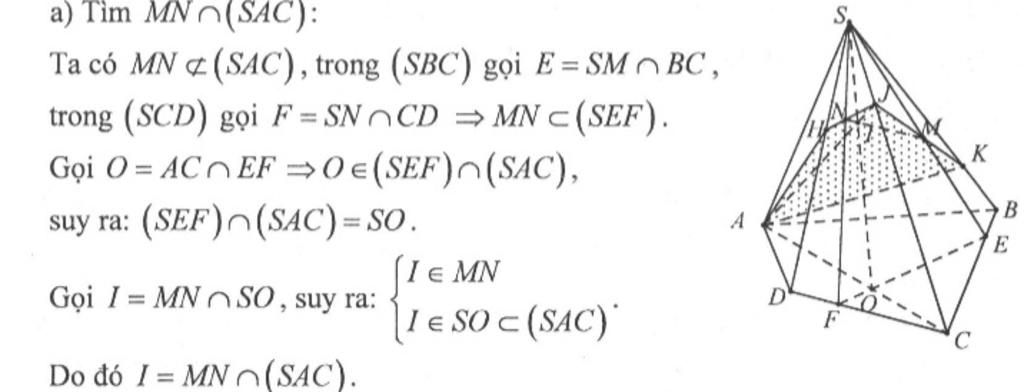
a,
Trong $(SBC)$, $SM\cap BC=M'$
Trong $(SCD)$, $SN\cap CD=N'$
$\Rightarrow MN\subset (SM'N')$
Trong $(ABCD)$, $AC\cap M'N'=I$
Mà $M'N'\subset (SMN), AC\subset (SAC)$
$\Rightarrow (SM'N')\cap (SAC)=SI$
$SI\cap MN=K$
$\Rightarrow MN\cap (SAC)=K$
b,
Trong $(SAC)$, $AK\cap SC=L$
$\Rightarrow SC\cap (AMN)=L$
c,
$K\in (AMN)\Rightarrow L\in (AMN)$
Mở rộng $(AMN)\to (AMLN)$
Trong $(SBC)$, $LM\cap SB=P$
Trong $(SCD)$, $LN\cap CD=Q$
Vậy thiết diện là tứ giác $APLQ$
Hãy giúp mọi người biết câu trả lời này thế nào?

Bảng tin
53468
3081
52917
Oke
81
383
207
Bác Cường thử vẽ tranh cho mng trầm trồ đi ạ :>
1462
-194
1347
Oke `->` puvi đực cái vậy?
81
383
207
puvi đực cái vậy? → là đực
81
383
207
đực
1462
-194
1347
bối rối
1462
-194
1347
sao lúc cái lúc đực vậy hổng lẽ 3D
1462
-194
1347
puvi ko onl