Vui lòng chỉ chọn một câu hỏi
Hoidap247.com Nhanh chóng, chính xác
+
Danh mục mới
9
897
3
Hãy luôn nhớ cảm ơn và vote 5* nếu câu trả lời hữu ích nhé!
22
4
25
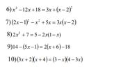
Đáp án:
a)= -3/4
b)= -44/3
Hãy giúp mọi người biết câu trả lời này thế nào?
dễ ẹt
chời dậy cx ns
kkk
0
7
hello mn
lô
13
180
10
cho tui 5 sao nhé
cho gòi cảm ơn lun
ok
Đáp án:a)=5/4
b)=-3/41
Giải thích các bước giải:
hình như ở trên mới đúng
Bảng tin
Gửi yêu cầu Hủy
22
4
25
dễ ẹt
9
897
3
chời dậy cx ns
22
4
25
kkk
0
7
0
hello mn
22
4
25
lô
13
180
10
cho tui 5 sao nhé
22
4
25
cho gòi cảm ơn lun
13
180
10
ok