

Hãy luôn nhớ cảm ơn và vote 5*
nếu câu trả lời hữu ích nhé!

Đây là câu trả lời đã được xác thực
Câu trả lời được xác thực chứa thông tin chính xác và đáng tin cậy, được xác nhận hoặc trả lời bởi các chuyên gia, giáo viên hàng đầu của chúng tôi.
Đáp án:
$x=\dfrac{k\pi}2$ $(k\in\mathbb Z)$
Giải thích các bước giải:
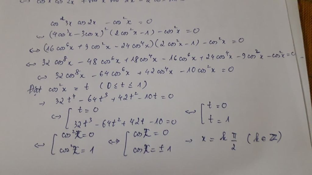
$\cos^23x.\cos 2x-\cos^2x=0$
$\Leftrightarrow(4\cos^3x-3\cos x)^2(2\cos^2x-1)-\cos^2x=0$
$\Leftrightarrow(16\cos^6x+9\cos^2x-24\cos^4x)(2\cos^2x-1)-\cos^2x=0$
$\Leftrightarrow32\cos^8x-64\cos^6x+42\cos^4x-10\cos^2x=0$
Đặt $\cos^2x=t$ $(0\le t\le 1)$
Phương trình tương đương
$32t^4-64t^3+42t^2-10t=0$
$\Leftrightarrow\left[\begin{array}{I}t=0\\t=1\end{array}\right.$
$\Leftrightarrow\left[\begin{array}{I}\cos^2x=0\\\cos^2x=1\end{array}\right.\Leftrightarrow\left[\begin{array}{I}\cos x=0\\\cos x=\pm1\end{array}\right.$
$\Leftrightarrow\sin2x=0\Leftrightarrow2x=k\pi\Leftrightarrow x=\dfrac{k\pi}2$ $(k\in\mathbb Z)$.
Hãy giúp mọi người biết câu trả lời này thế nào?
Đáp án:
$ cos²3x.cos2x - cos²x = 0$
$⇔$ $\frac{1+cos6x}{2}$ $. cos2x -$ $\frac{1+cos2x}{2}$ $=0$
$⇔ cos2x + cos6x.cos2x - 1 - cos2x = 0$
$⇔ cos6x.cos2x - 1 = 0$
$⇔ $ $\frac{1}{2} (cos8x + cos4x)$ $- 1 = 0$
$⇔ cos8x + cos4x - 2 = 0$
$⇔ 2cos²4x - 1 + cos4x - 2 = 0$
$⇔ 2cos²4x + cos4x - 3 = 0 $
$⇔ $ \(\left[ \begin{array}{l}cos4x=1(TM)\\cos4x=\frac{-3}{2}(Loại)\end{array} \right.\)
$⇔$ $x=\frac{k\pi}{2}$
Hãy giúp mọi người biết câu trả lời này thế nào?
Bảng tin
0
75
0
Cho hỏi tại sao lại xuất hiện sin(2x)=0
0
60
0
cho e hỏi tại sao xuất hiện sin2x=0 ạ ?
0
60
0
Cho e hỏi ở đâu xuất hiện sin2x=0 vậy ạ