Đăng nhập để hỏi chi tiết


Hãy luôn nhớ cảm ơn và vote 5*
nếu câu trả lời hữu ích nhé!
Bài giải :
Bài 1 :
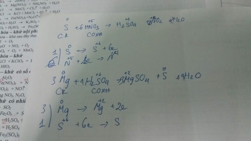
`a. S+HNO_3→H_2SO_4+NO_2↑+H_2O`
Quá trình cho nhận e :
x1 | $S^0→S^{+6}+6e$
x6 | $N^{+5}+1e→N^{+4}$
Phương trình hóa học :
` S+6HNO_3→H_2SO_4+6NO_2↑+2H_2O`
`b.Mg+H_2SO_4→MgSO_4+S↓+H_2O`
Quá trình cho nhận e :
x3 | $Mg^0→Mg^{+2}+2e$
x1 | $S^{+6}+6e→S^0$
Phương trình hóa học :
`3Mg+4H_2SO_4→3MgSO_4+S↓+4H_2O`
Hãy giúp mọi người biết câu trả lời này thế nào?
Đáp án:
MK TB TRG HÌNH NHA
XIN HAY NHẤT Ạ
Giải thích các bước giải:
Hãy giúp mọi người biết câu trả lời này thế nào?
Bảng tin