

Hãy luôn nhớ cảm ơn và vote 5*
nếu câu trả lời hữu ích nhé!

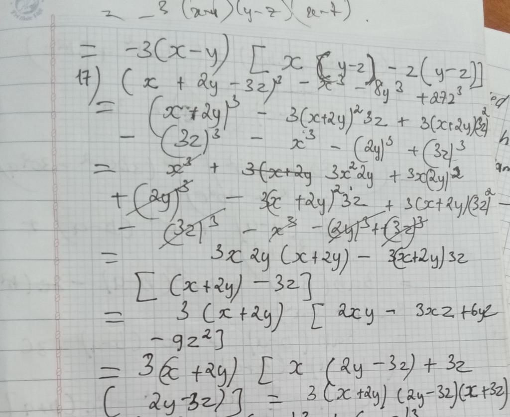
Đáp án:
$(x+2y+3z)^3-x^3-8y^3-27z^3=3(x+2y)(2y+3z)(3z+x)$
Giải thích các bước giải:
Ta có:
$\begin{split}(a+b+c)^{3}&=((a+b)+c)^{3}\\& =(a+b)^{3}+c^{3}+3(a+b)^{2}c+3(a+b)c^{2} \\&=a^{3}+b^{3}+3ab(a+b)+c^{3}+3(a+b)c(a+b+c) \\&=a^{3}+b^{3}+c^{3}+3(a+b)(c(a+b+c)+ab) \\&=a^{3}+b^{3}+c^{3}+3(a+b)(b+c)(c+a)\end{split}$
$\rightarrow (a+b+c)^3-a^3-b^3-c^3=3(a+b)(b+c)(c+a)$
Áp dụng đẳng thức trên với $a=x, b=2y, c=3z$ ta có:
$(x+2y+3z)^3-x^3-(2y)^3-(3z)^3=3(x+2y)(2y+3z)(3z+x)$
$\rightarrow (x+2y+3z)^3-x^3-8y^3-27z^3=3(x+2y)(2y+3z)(3z+x)$
Hãy giúp mọi người biết câu trả lời này thế nào?
Bảng tin