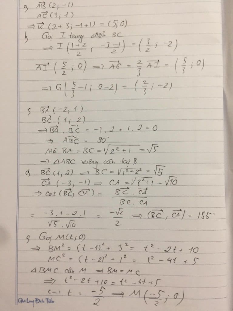
Câu 5 (3 điểm): Trên mặt phẳng tọa độ Oxy cho tam giác ABC có
A(-1;-2), B(1;-3), C(2;-1).
a) Tính tọa độ của véc tơ u= AB+ AC
%3D
b) Tìm tọa độ trọng tâm G của tam giác ABC
c) Chứng minh rằng tam giác ABC vuông cân tại B
d) Tính góc giữa hai véc tơ BC và CA
e) Tim điểm M trên trục hoàn ...
Xem thêm
0
0
0
cảm ơn bn nhiều !
1159
1975
1713
ôi anh ơi giúp em đi mà 🙀 https://hoidap247.com/cau-hoi/1411428
53468
3081
52934
Không biết hmu hmu🐧
1159
1975
1713
anh mà ko bt, em đâm đầu xuống đất luôn