Vui lòng chỉ chọn một câu hỏi
Hoidap247.com Nhanh chóng, chính xác
+
Danh mục mới
0
32
Hãy luôn nhớ cảm ơn và vote 5* nếu câu trả lời hữu ích nhé!
1787
10911
7163
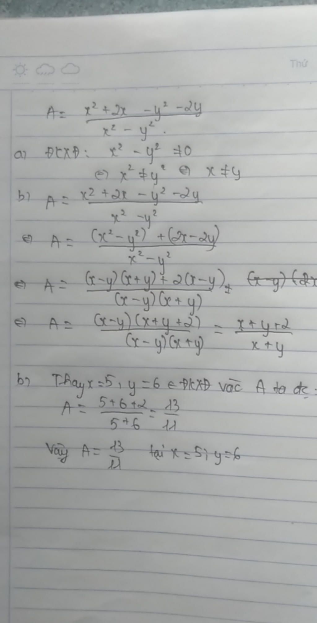
Mk trình bày trong hình!
Nếu sai thì bn cứ báo cáo để mod xóa và cho mk gửi lời xl nha🥰
Bn tham khảo!
Hãy giúp mọi người biết câu trả lời này thế nào?
1025
18041
913
Đáp án:
Giải thích các bước giải:
Bảng tin
Gửi yêu cầu Hủy