

Hãy luôn nhớ cảm ơn và vote 5*
nếu câu trả lời hữu ích nhé!


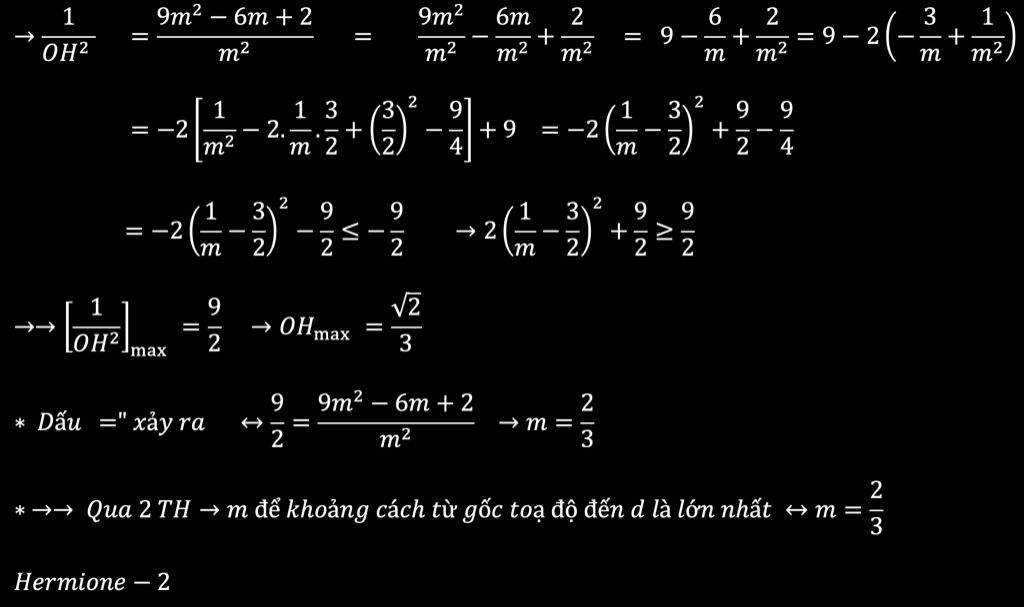
Giải thích các bước giải:
Gọi $H$ là hình chiếu của $O$ trên đồ thị hàm số $y = \left( {1 - 3m} \right)x + m$
Ta có:
$y = \left( {1 - 3m} \right)x + m = m\left( {1 - 3x} \right) + x$ có đồ thị là đường $(d)$
Nhận thấy: Đồ thị hàm số trên luôn đi qua điểm $A\left( {\dfrac{1}{3};\dfrac{1}{3}} \right)$ cố định với mọi $m$
Lại có:
$OH \le OA$ (Quan hệ đường xiên - đường vuông góc)
$ \Rightarrow MaxOH = OA$
Mà: $OA = \sqrt {{{\left( {\dfrac{1}{3} - 0} \right)}^2} + {{\left( {\dfrac{1}{3} - 0} \right)}^2}} = \dfrac{{\sqrt 2 }}{3}$
$ \Rightarrow MaxOH = \dfrac{{\sqrt 2 }}{3}$
Dấu bằng xảy ra
$\begin{array}{l}
\Leftrightarrow H \equiv A\\
\Leftrightarrow OA \bot \left( d \right)
\end{array}$
Mà đường $OA$ là đồ thị hàm số $y = x$ nên
$\begin{array}{l}
OA \bot \left( d \right)\\
\Leftrightarrow \left( {1 - 3m} \right).1 = - 1\\
\Leftrightarrow 1 - 3m = - 1\\
\Leftrightarrow m = \dfrac{2}{3}
\end{array}$
Vậy $m = \dfrac{2}{3}$
Hãy giúp mọi người biết câu trả lời này thế nào?

Bảng tin