

Hãy luôn nhớ cảm ơn và vote 5*
nếu câu trả lời hữu ích nhé!
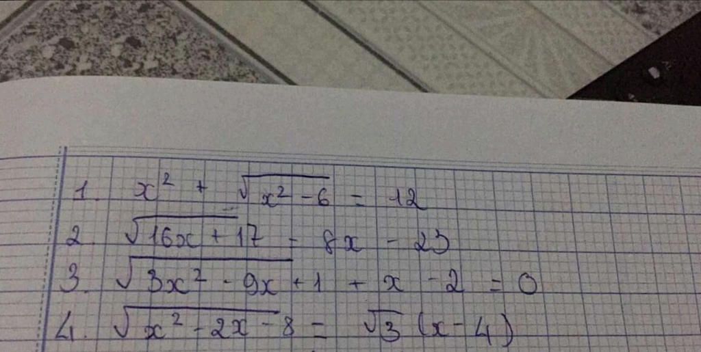
1. Đặt `t=x^2` `(t≥0)`
Phương trình trở thành:
`t+\sqrt{t-6}=12`
⇔ `\sqrt{t-6}=12-t` (1)
Đkxđ: `12-t≥0 ⇔ t≤12`
(1) ⇔ `t-6=(12-t)^2`
⇔ `144-24t+t^2-t+6=0`
⇔ `t^2-25t+150=0`
⇔ `t=15` (loại) hoặc `t=10` (nhận)
⇒ `x^2=10` ⇔ `x=±\sqrt{10}`
Vậy `x=±\sqrt{10}`
2. `\sqrt{16x+17}=8x-23` (2)
Đkxđ: `8x-23≥0 ⇔ x≥\frac{23}{8}`
(2) ⇔ `16x+17=(8x-23)^2`
⇔ `64x^2-368x+529-16x-17=0`
⇔ `64x^2-384x+512=0`
⇔ `x=4` (nhận) hoặc `x=2` (loại)
Vậy `x=4`
3. `\sqrt{3x^2-9x+1}+x-2=0`
⇔ `\sqrt{3x^2-9x+1}=2-x` (3)
Đkxđ: `2-x≥0 ⇔ x≤2`
(3) ⇔ `3x^2-9x+1=(2-x)^2`
⇔ `3x^2-9x+1-4+4x-x^2=0`
⇔ `2x^2-5x-3=0`
⇔ `x=3` (nhận) hoặc `x=\frac{-1}{2}` (nhận)
Vậy `x=3` hoặc `x=\frac{-1}{2}`
4. Đkxđ: `x-4≥0 ⇔ x≥4`
`\sqrt{x^2-2x-3}=\sqrt{3}(x-4)`
⇔ `x^2-2x-3=3(x-4)^2`
⇔ `3x^2-24x+48-x^2+2x+3=0`
⇔ `2x^2-22x+51=0`
⇔ `x=\frac{11±\sqrt{19}}{2}`
Vậy `x=\frac{11±\sqrt{19}}{2}`
Hãy giúp mọi người biết câu trả lời này thế nào?
![]()
Bảng tin
0
0
0
Sai rồi bạn
7994
146130
5648
sai ở đâu vậy