

Hãy luôn nhớ cảm ơn và vote 5*
nếu câu trả lời hữu ích nhé!
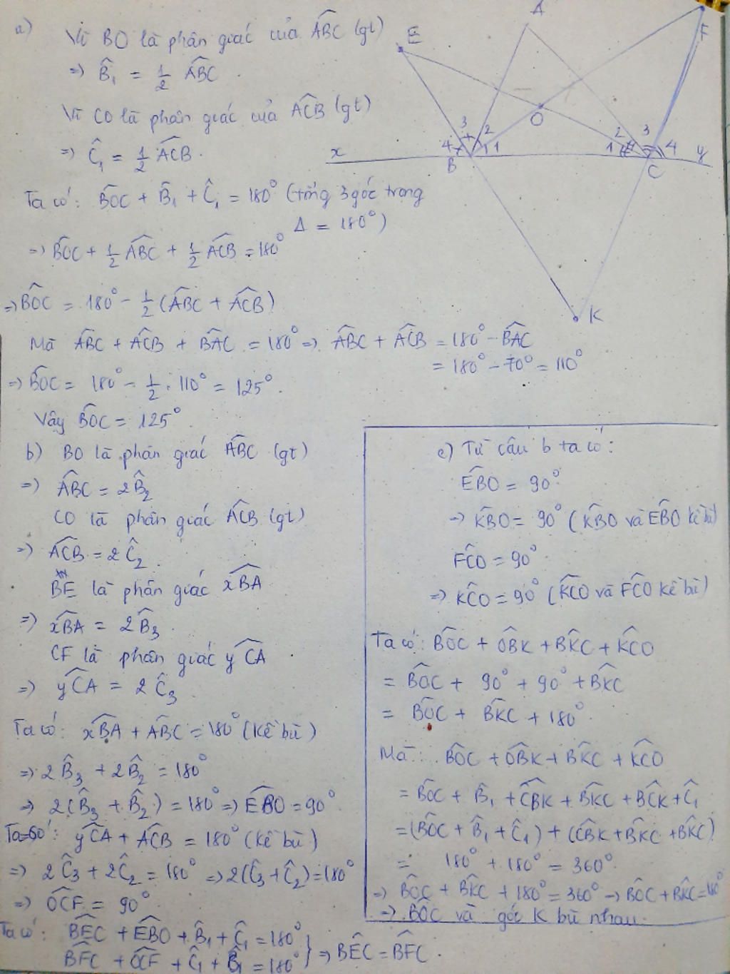
a) Ta có:
$\widehat{ABO}=\widehat{CBO}=\dfrac12\widehat{ABC}\quad (gt)$
$\widehat{ACO}=\widehat{BCO}=\dfrac12\widehat{ACB}\quad (gt)$
Xét $∆BOC$ có:
$\widehat{BOC} + \widehat{CBO} +\widehat{BCO}=180^o$
$\Rightarrow \widehat{BOC}=180^o - (\widehat{CBO} +\widehat{BCK})$
$\Rightarrow \widehat{BOC}=180^o - \dfrac12(\widehat{ABC} + \widehat{ACB})$
$\Rightarrow \widehat{BOC}=180^o -\dfrac12(180^o - \widehat{BAC})$
$\Rightarrow \widehat{BOC}=180^o -\dfrac12(180^o - 70^o)= 125^o$
b) Ta có:
$BE$ là phân giác ngoài của góc $B$
$\Rightarrow BE\perp BO$
$\Rightarrow ∆BEO$ vuông tại $B$
$\Rightarrow \widehat{BEO}+\widehat{BOE}=90^o$
Tương tự: $∆CFO$ vuông tại $C$
$\Rightarrow \widehat{CFO}+\widehat{COF}=90^o$
mà $\widehat{BOE}=\widehat{COF}\quad$ (đối đỉnh)
nên $\widehat{BEO}=\widehat{CFO}$
hay $\widehat{BEC}=\widehat{CFB}$
c) Xét $∆BFK$ vuông tại $B$ có:
$\widehat{BFK} +\widehat{BKF}=90^o$
Ta lại có:
$\widehat{BFK} = \widehat{CFB}=\widehat{BEC}=\widehat{BEO}$ (câu b)
nên $\widehat{BKF}+\widehat{BEO}=90^o$
Mặt khác:
$\widehat{BOE} +\widehat{BEO}=90^o$ ($∆BEO$ vuông tại $B$)
Do đó $\widehat{BOE}=\widehat{BKF}=\widehat{K}$
mà $\widehat{BOE}+\widehat{BOC}=180^o\quad$ (hai góc kề bù)
nên $\widehat{K} +\widehat{BOC}=180^o$
$\Rightarrow \widehat{BOC}$ và $\widehat{K}$ là hai góc bù nhau
Hãy giúp mọi người biết câu trả lời này thế nào?

Bảng tin