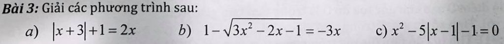
Vui lòng chỉ chọn một câu hỏi
Hoidap247.com Nhanh chóng, chính xác
+
Danh mục mới
0
Hãy luôn nhớ cảm ơn và vote 5* nếu câu trả lời hữu ích nhé!
2
1022
1
mỗi lần chỉ đc gửi đi 5 ảnh nên đợi chúc
Hãy giúp mọi người biết câu trả lời này thế nào?
Câu còn lại vô đây tra đ án https://photomath.net/s/98J0D4
Bảng tin
Gửi yêu cầu Hủy
2
1022
1
Câu còn lại vô đây tra đ án https://photomath.net/s/98J0D4