

Hãy luôn nhớ cảm ơn và vote 5*
nếu câu trả lời hữu ích nhé!
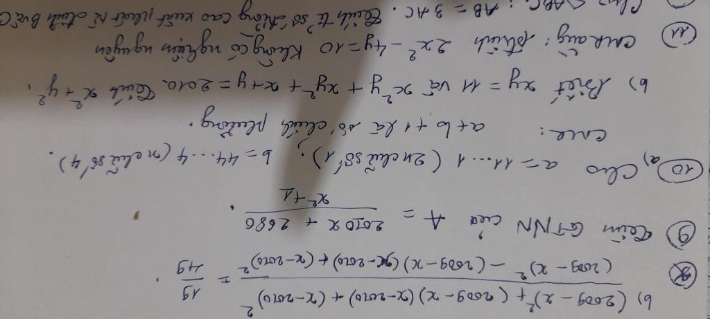
10
a)
A+B+1=11...1+44...4+1
=11...1×10n+11...1+4×11...1+1
=11...1×10n+5×11...1+1
Đặt: a=11...1⇒9a=99...9=10n−1⇒10n=9a+1
⇒ A+B+1= a×(9a+1)+5a+1
= 9a2+6a+1
= ( 3a+1 ) 2
= (33...34)2( n-1 chữ số 3)
Hãy giúp mọi người biết câu trả lời này thế nào?

Bảng tin
231
4259
212
câu b nữa bạn ơi
142
999
336
mình đang suy nghĩ câu này hơi nhức óc
231
4259
212
bạn ơi
231
4259
212
= 9a2+6a+1 chỗ này là 9a.2 hay 9a mũ 2
142
999
336
mũ 2 nha