Vui lòng chỉ chọn một câu hỏi
Hoidap247.com Nhanh chóng, chính xác
+
Danh mục mới
0
35
Hãy luôn nhớ cảm ơn và vote 5* nếu câu trả lời hữu ích nhé!
56
1545
37
Đây là câu trả lời đã được xác thực
Câu trả lời được xác thực chứa thông tin chính xác và đáng tin cậy, được xác nhận hoặc trả lời bởi các chuyên gia, giáo viên hàng đầu của chúng tôi.
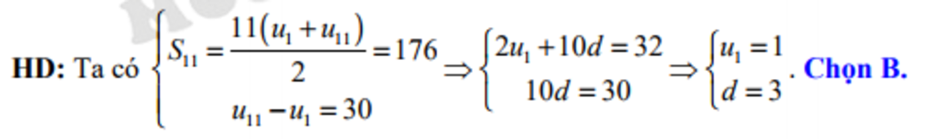
Đáp án: U1 = 1 và d=3
Giải thích các bước giải:
Hãy giúp mọi người biết câu trả lời này thế nào?
83
3081
71
giải chi tiết đc k bạn
Bảng tin
Gửi yêu cầu Hủy
83
3081
71
giải chi tiết đc k bạn