Vui lòng chỉ chọn một câu hỏi
Hoidap247.com Nhanh chóng, chính xác
+
Danh mục mới
0
32
Hãy luôn nhớ cảm ơn và vote 5* nếu câu trả lời hữu ích nhé!
1246
18260
1451
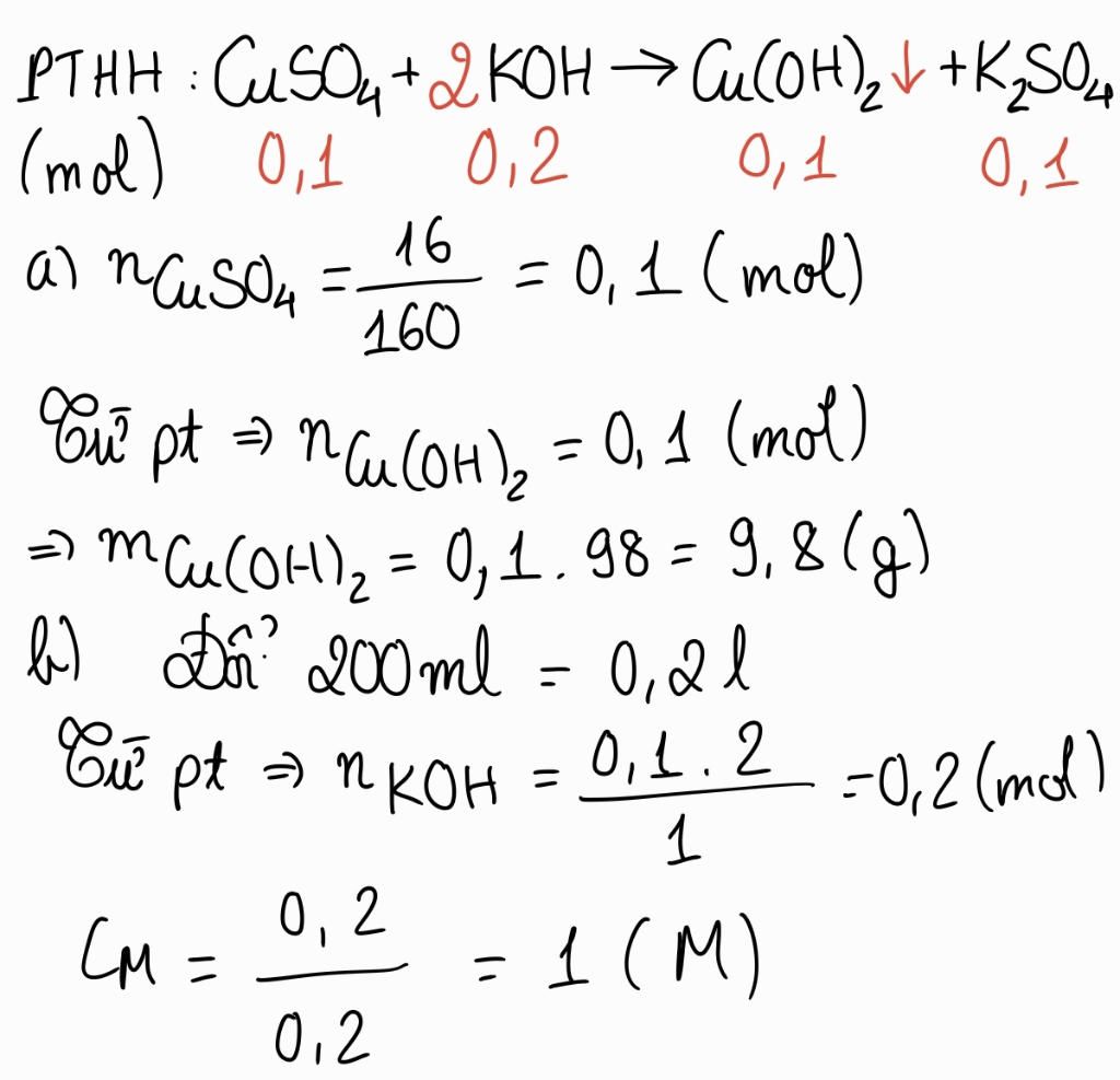
`n_(CuSO_4) =16 / 160 = 0.1 ( mol ) `
`PT : CuSO_4 + 2KOH -> Cu(OH)_2 ↓+ K_2SO_4`
` 0.1 - 0.2 - 0.1`
a) `m_(Cu(OH)_2) = 0.1 * 98 = 9.8 ( g )`
b) `CM_(KOH) = 0.2 / 0.2 = 1 M`
Hãy giúp mọi người biết câu trả lời này thế nào?
Xem thêm:
17
205
9
Chữ hơi xấu bạn thông cảm :3
Bảng tin
Gửi yêu cầu Hủy