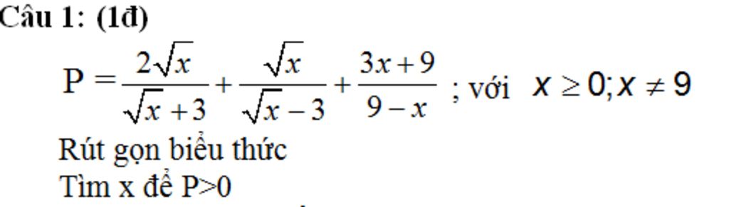
Tham Gia Group Dành Cho Lớp 9 - Ôn Thi Vào Lớp 10 Miễn Phí
Từ (x + vx² +2016)( y + \y² +2016) = 2016 (1)
Nhân 2 về của (1) với x– Vx² + 2016 rồi biển đối được:
X + y = Vx² +2016 – Vy² +2016 (2)
|
Tương tự nhân 2 về của (1) với y-y +2016 rồi biển
đổi được:
x + y = Vy + 2016 – Vx² +2016 (3)
Từ (2), (3) tìm được → y=-x
Thay y = - x vào biểu thức ...
1423
1131
1879
Cho mk hỏi bn ở đâu ạ
1423
1131
1879
Sao hai câu ấy giống đề lớp mk
0
2
0
à mình ở Quảng Bình í