

Hãy luôn nhớ cảm ơn và vote 5*
nếu câu trả lời hữu ích nhé!

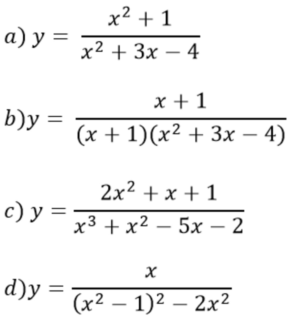
Đáp án:
c) \(TXD:D = R\backslash \left\{ {\dfrac{{ - 3 - \sqrt 5 }}{2};\dfrac{{ - 3 + \sqrt 5 }}{2};2} \right\}\)
Giải thích các bước giải:
\(\begin{array}{l}
a)DK:{x^3} + 3x - 4 \ne 0\\
\to \left( {x + 4} \right)\left( {x - 1} \right) \ne 0\\
\to x \ne \left\{ { - 4;1} \right\}\\
\to TXD:D = R\backslash \left\{ { - 4;1} \right\}\\
b)DK:\left( {x + 1} \right)\left( {{x^3} + 3x - 4} \right) \ne 0\\
\to \left( {x + 1} \right)\left( {x + 4} \right)\left( {x - 1} \right) \ne 0\\
\to x \ne \left\{ { - 4; - 1;1} \right\}\\
\to TXD:D = R\backslash \left\{ { - 4; - 1;1} \right\}\\
c)DK:{x^3} + {x^2} - 5x - 2 \ne 0\\
\to \left( {x - 2} \right)\left( {{x^2} + 3x + 1} \right) \ne 0\\
\to x \ne \left\{ {\dfrac{{ - 3 - \sqrt 5 }}{2};\dfrac{{ - 3 + \sqrt 5 }}{2};2} \right\}\\
\to TXD:D = R\backslash \left\{ {\dfrac{{ - 3 - \sqrt 5 }}{2};\dfrac{{ - 3 + \sqrt 5 }}{2};2} \right\}\\
d)DK:{\left( {{x^2} - 1} \right)^2} - 2{x^2} \ne 0\\
\to {x^4} - 2{x^2} + 1 - 2{x^2} \ne 0\\
\to \left[ \begin{array}{l}
{x^2} \ne 2 + \sqrt 3 \\
{x^2} \ne 2 - \sqrt 3
\end{array} \right.\\
\to \left[ \begin{array}{l}
x \ne \pm \sqrt {2 + \sqrt 3 } \\
x \ne \pm \sqrt {2 - \sqrt 3 }
\end{array} \right.\\
\to TXD:D = R\backslash \left\{ { \pm \sqrt {2 - \sqrt 3 } ; \pm \sqrt {2 + \sqrt 3 } } \right\}
\end{array}\)
Hãy giúp mọi người biết câu trả lời này thế nào?
Đáp án:
A)ĐKXĐ:x²+3x-4 khác 0
⇔x khác1
xkhác-4
TXĐ:D=R hiệu 1 và -4
b)ĐKXĐ:x+1 khác 0
x² +3x-4 khác 0
⇔x khác -1
x khác 1
x khác -4
TXĐ:D=R\(-4,-1,1)
C)đkxđ:
x³ không có điều kiện
x²-5x-2 khác 0(luôn đúng)
TXĐ:D=R
Giải thích các bước giải:
Hãy giúp mọi người biết câu trả lời này thế nào?
Bảng tin