

Hãy luôn nhớ cảm ơn và vote 5*
nếu câu trả lời hữu ích nhé!
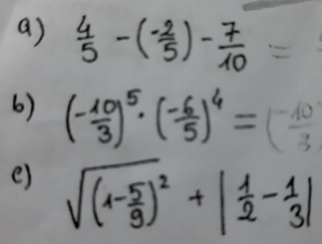
a) (chép đề)
= $\frac{4}{5}$ + $\frac{2}{5}$ - $\frac{7}{10}$
= $\frac{6}{5}$ - $\frac{7}{10}$
= $\frac{1}{2}$
b) (chép đề)
= -$\frac{2560}{3}$
c) (chép đề)
= = $\frac{4}{9}$ + |$\frac{1}{2}$ - $\frac{1}{3}$ |
= $\frac{4}{9}$ + $\frac{1}{6}$
= $\frac{11}{18}$
Hãy giúp mọi người biết câu trả lời này thế nào?
Lời giải:
`a) =4/5+2/5-7/10`
`=6/5-7/10`
`=12/10-7/10`
`=5/10=1/2`
`b) =(-10/3)^5*(-6/5)^4`
`=(-10/3)*(-10/3)^4*(-6/5)^4`
`=(-10/3)*(-10/3*-6/5)^4`
`=(-10/3)*(60*15)^4`
`=4^4*(-10/3)`
`=-2560/3`
`c) =√(4/9)^2 + 1/6`
`= 4/9 + 1/6`
`= 8/18 + 3/18`
`= 11/18`
Hãy giúp mọi người biết câu trả lời này thế nào?
Bảng tin