Vui lòng chỉ chọn một câu hỏi
Hoidap247.com Nhanh chóng, chính xác
+
Danh mục mới
27
-10
10
Hãy luôn nhớ cảm ơn và vote 5* nếu câu trả lời hữu ích nhé!
354
3917
260
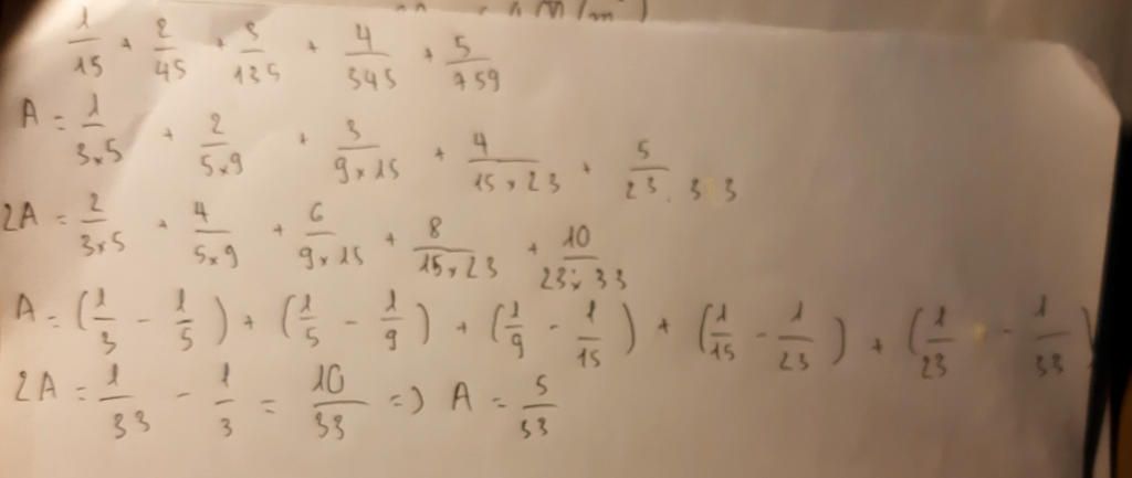
(Trong hình)
Hãy giúp mọi người biết câu trả lời này thế nào?
2A là sao ạ
Bảng tin
Gửi yêu cầu Hủy
27
-10
10
2A là sao ạ