Vui lòng chỉ chọn một câu hỏi
Hoidap247.com Nhanh chóng, chính xác
+
Danh mục mới
1288
16195
946
Hãy luôn nhớ cảm ơn và vote 5* nếu câu trả lời hữu ích nhé!
53468
3081
53022
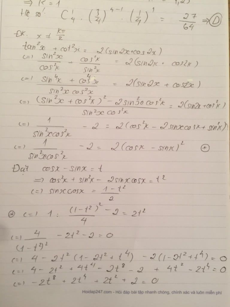
Bạn xem hình
Hãy giúp mọi người biết câu trả lời này thế nào?
cường ơi
dòng 5 sao cos2x = cosx bình dc
Đoạn đấy ghi nhầm vị trí số 2 thôi, đoạn sau ko sao đâu
Bảng tin
Gửi yêu cầu Hủy
1288
16195
946
cường ơi
1288
16195
946
dòng 5 sao cos2x = cosx bình dc
53468
3081
53022
Đoạn đấy ghi nhầm vị trí số 2 thôi, đoạn sau ko sao đâu