Vui lòng chỉ chọn một câu hỏi
Hoidap247.com Nhanh chóng, chính xác
+
Danh mục mới
12
3
Hãy luôn nhớ cảm ơn và vote 5* nếu câu trả lời hữu ích nhé!
3318
41293
3622
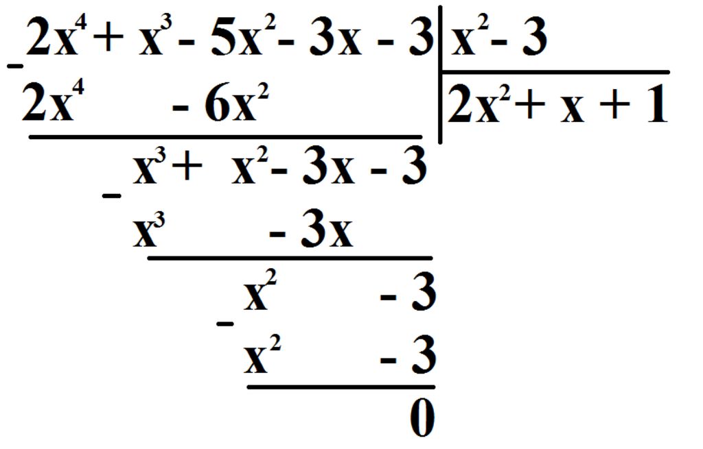
Đáp án:
2x^4+x^3-5x^2-3x-3 | x^2-3
2x^4 -6x^2 | 2x^2+x+1
x^3 +x^2 -3x-3
x^3 -3x
x^2 -3
0
Giải thích các bước giải:
Hãy giúp mọi người biết câu trả lời này thế nào?
-150
bạn ơi
6166
2599
6071
Bảng tin
Gửi yêu cầu Hủy
0
-150
0
bạn ơi