

Hãy luôn nhớ cảm ơn và vote 5*
nếu câu trả lời hữu ích nhé!
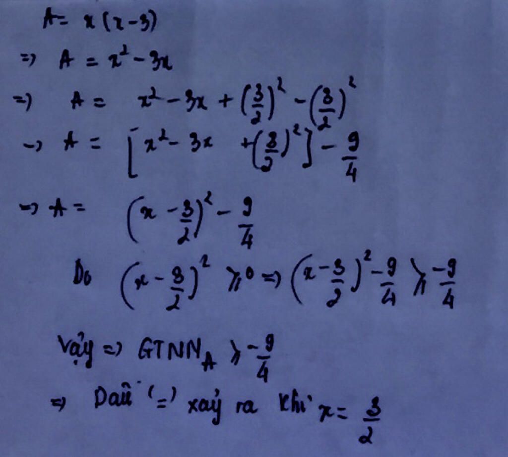
Đáp án:
`min A=-9/4` khi `x=3/2`
Giải thích các bước giải:
`A=x(x-3)`
`A=x^2-3x`
`A=x^2-2.x. 3/2+9/4-9/4`
`A=(x-3/2)^2-9/4>=-9/4`
Dấu = có khi `x-3/2=0<=>x=3/2`
Vậy `min A=-9/4` khi `x=3/2`
Hãy giúp mọi người biết câu trả lời này thế nào?
bạn lm đr
Thì mình đg hỏi bạn trên sai đâu mà=))?
à ý là bn ở trên cái đoạn $x^2-3x + (3/2)^2$ á
phải là $x^2 -2x3/2 + (3/2)^2 $ mới đúng
`-3x=-2. x. 3/2` (có khác gì nhau đâu ạ)?
Có thể là bước đó khong cụ thể lắm (so với bạn) nhưng mà nó khong sai nhé
nhưng lm vậy là đầu voi đuôi chuột r
Sao lại đầu voi đuôi chuột nhỉ ??
Bảng tin