

Hãy luôn nhớ cảm ơn và vote 5*
nếu câu trả lời hữu ích nhé!
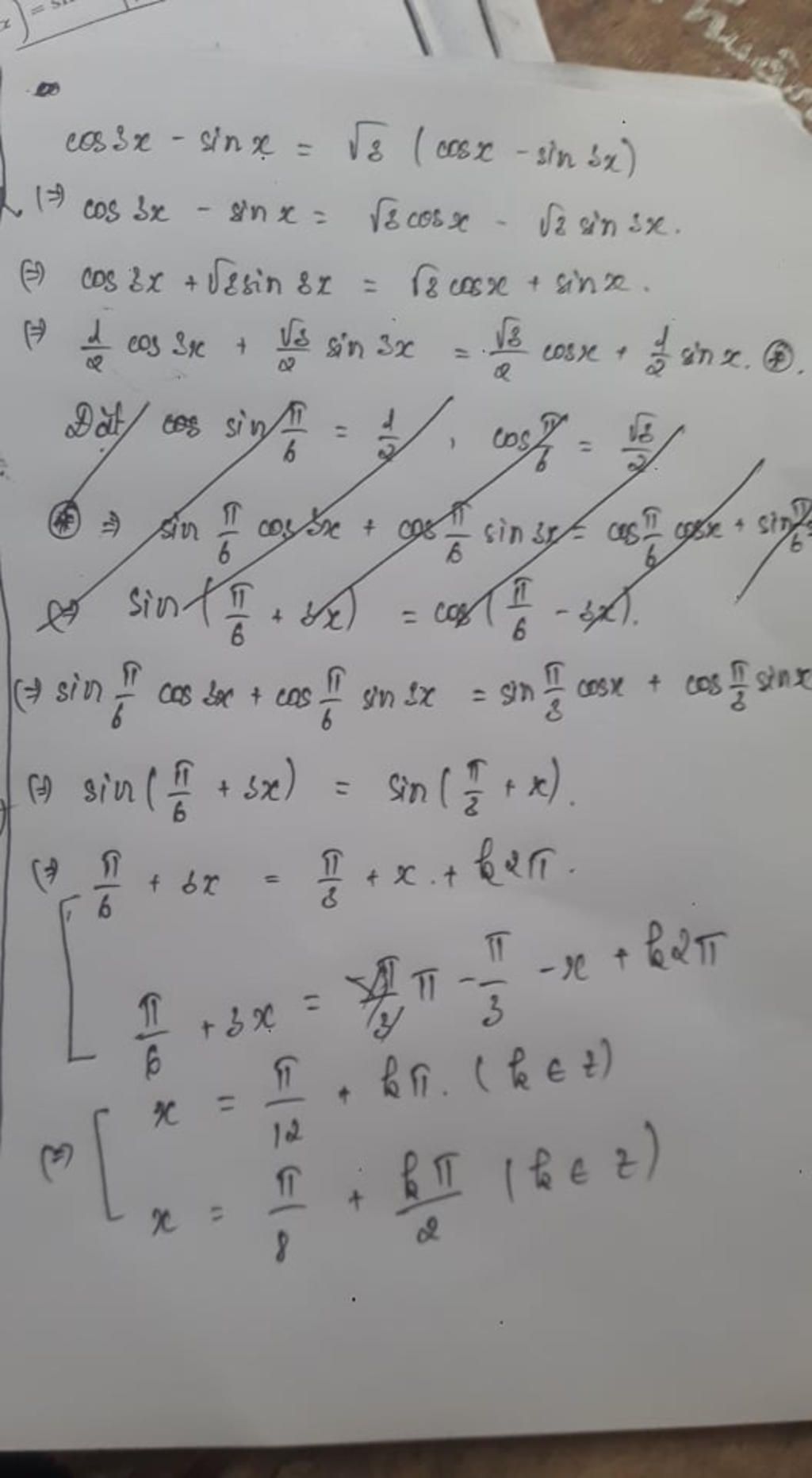
Đáp án:
$\left[\begin{array}{l}x =\dfrac{\pi}{12} + k\pi\\x=\dfrac{\pi}{8} + k\dfrac{\pi}{2}\end{array}\right.\quad (k\in\Bbb Z)$
Giải thích các bước giải:
$\cos3x - \sin x = \sqrt3(\cos x -\sin3x)$
$\Leftrightarrow \cos3x + \sqrt3\sin3x = \sqrt3\cos x + \sin x$
$\Leftrightarrow \dfrac{1}{2}\cos3x + \dfrac{\sqrt3}{2}\sin3x =\dfrac{\sqrt3}{2}\cos x + \dfrac{1}{2}\sin x$
$\Leftrightarrow \cos\left(3x -\dfrac{\pi}{3}\right)=\cos\left(x -\dfrac{\pi}{6}\right)$
$\Leftrightarrow \left[\begin{array}{l}3x -\dfrac{\pi}{3}=x -\dfrac{\pi}{6} + k2\pi\\3x -\dfrac{\pi}{3} =\dfrac{\pi}{6} - x + k2\pi\end{array}\right.$
$\Leftrightarrow \left[\begin{array}{l}x =\dfrac{\pi}{12} + k\pi\\x=\dfrac{\pi}{8} + k\dfrac{\pi}{2}\end{array}\right.\quad (k\in\Bbb Z)$
Hãy giúp mọi người biết câu trả lời này thế nào?

Bảng tin