

Hãy luôn nhớ cảm ơn và vote 5*
nếu câu trả lời hữu ích nhé!
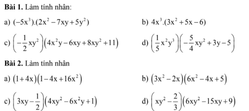
bài 1:
`a) (-5x^2)(2x^2-7xy+5y^2)`
`=-10x^4+35x^3y-25x^2y^2`
`b) 4x^3(3x^2+5x-6)`
`=12x^5+20x^4-24x^3`
`c) (-1/2xy^2)(4x^2y-6xy+8xy^2+11)`
`=-2x^3y^3+3x^2y^3-4x^2y^4-11/2xy^2`
`d) (1/5x^2y^3)(-5/4xy^2+3y-5)`
`=-1/4x^3y^5+3/5x^2y^4-x^2y^3`
bài 2:
`a) (1+4x)(1-4x+16x^2)`
`=1+(4x)^3=1+63x^3`
`b) (3x^2-2x)(6x^2-4x+5)`
`=18x^4-12x^3+15x^2-12x^3+8x^2-10x`
`=18x^4-24x^3+23x^2-10x`
`c) (3xy-1/2)(4xy^2-6x^2y+1)`
`=12x^2y^3-18x^3y^2+3xy-2xy^2+3x^2y-1/2`
`d) (xy^2-2/3)(6xy^2-15xy+9)`
`=6x^2y^4-15x^2y^3+9xy^2-4xy^2+10xy-6`
`=6x^2y^4-15x^2y^3+5xy^2+10xy-6`
Hãy giúp mọi người biết câu trả lời này thế nào?

Đáp án:
Giải thích các bước giải:
a) (-5x^3)(2x^2-7xy+5y^2)
= -10x^5+35x^4y-25x^3y^2
b) 4x^3(3x^2+5x-6)
=12x^5+20x^4-24x^3
c)(-1/2xy^2)(4x^2y-6xy+8xy^2+11)
=-2x^3y^3+3x^2y^3-4x^2y^4-5,5xy^2
d)(1/5x^2y^3)(-5/4xy^2+3y-5)
=-1/4x^3y^5+3/5x^2y^4-1x^2y^3
bài2
a)1(1-4x+16x^2)+4x(1-4x+16x^2)
=1-4x+16x^2+4x-16x^2+64x^3
=1+64x^3
b)(3x^2-2x)(6x^2-4x+5)
=3x^2(6x^2-4x+5)-2x(6x^2-4x+5)
=18x^4-12x^3+15x^2-12x^3+8x^2-10x
18x^4+23x^2-10x
c)(3xy-1/2)(4xy^2-6x^2y+1)
=3xy(4xy^2-6x^2y+1)-1/2(4xy^2-6x^2y+1)
=12x^2y^3-18x^3y^2+3xy-2xy^2+3x^2y-1/2
d)(xy^2-2/3)(6xy^2-15xy+9)
=xy^2(6xy^2-15xy+9)-2/3(6xy^2-15xy+9)
=6x^2y^4-15x^2y^3+9xy^2-4xy+10xy-6
Hãy giúp mọi người biết câu trả lời này thế nào?
Bảng tin