Tham Gia Group Dành Cho Lớp 8 Chia Sẻ, Trao Đổi Tài Liệu Miễn Phí
hoc360.net - Tài liệu học tập miễn phi
Trường THCS Lê Ngọc Hân
Năm học 2016 - 2017
hoc
ĐỀ KHẢO SÁT CHẤT LƯỢNG GIỮA HỌC KÌ I MÔN TOÁN L
(Thời gian làm bài: 90 phút)
TRƯỜNG THCS T
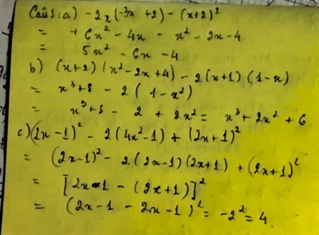
Bài 1. Rút gọn
a) - 2r(-3x+2)-(x+2)*
Bài 1 (2,5
a)
1. ĐẠI SỐ (
b) (x+2)(x-2r+4)-2(x+1)(1-x)
Bài
) (2x-1)-2(4 ...