

Hãy luôn nhớ cảm ơn và vote 5*
nếu câu trả lời hữu ích nhé!
Đáp án:
Giải thích các bước giải:
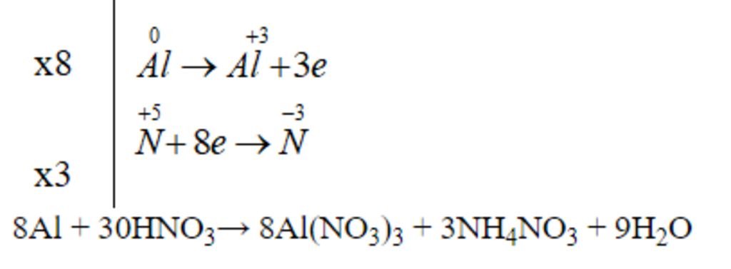
Trong (NH4)+ thì N có số oxi hóa là -3
Trong (NO3)- thì N có số oxi hóa là -5
Trong NH4 thì số oxi hóa của N được tính bởi: x+4.1=1 -> x=-3
Vậy số oxi hóa của N là -3
Trong (NO3)- thì số oxi hóa của N được tính bởi: x+3.(-2)=-1 -> x= +5
Vậy số oxi hóa của N là +5
Hãy giúp mọi người biết câu trả lời này thế nào?
Bảng tin
2603
149
2300
ko biết đánh latex :((