Vui lòng chỉ chọn một câu hỏi
Hoidap247.com Nhanh chóng, chính xác
+
Danh mục mới
0
15
Hãy luôn nhớ cảm ơn và vote 5* nếu câu trả lời hữu ích nhé!
1311
11397
1035
Đáp án:
Bạn tham khảo nhé!
Giải thích các bước giải:
Hãy giúp mọi người biết câu trả lời này thế nào?
6
908
1
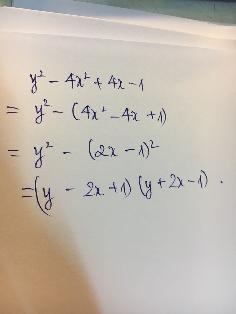
= ( y- 2x + 1) ( y+ 2x-1)
= y^2 - ( 4x^2 - 4x-1)
= y^2-(2x-1)^2
=( y-2x+1)(y+2x-1)
Bảng tin
Gửi yêu cầu Hủy