

Hãy luôn nhớ cảm ơn và vote 5*
nếu câu trả lời hữu ích nhé!
Đáp án:
Giải thích các bước giải:
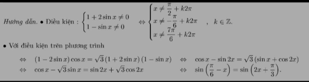
ĐKXĐ $: 1 + 2sinx \neq0 ⇔ sinx \neq - \dfrac{1}{2}$
$ ⇔ x \neq - \dfrac{π}{6} + k2π; x \neq - \dfrac{5π}{6} + k2π$
$ 1 - sinx \neq0 ⇔ sinx \neq 1 ⇔ x \neq \dfrac{π}{2} + k2π (1)$
$ PT ⇔ (1 - 2sinx)cosx = \sqrt{3}(1 + 2sinx)(1 - sinx)$
$ ⇔ cosx - 2sinxcosx = \sqrt{3}(1 - 2sin²x + sinx)$
$ ⇔ cosx - sin2x = \sqrt{3}(cos2x + sinx)$
$ ⇔ \sqrt{3}cos2x + sin2x = cosx - \sqrt{3}sinx$
$ ⇔ \dfrac{\sqrt{3}}{2}cos2x + \dfrac{1}{2}sin2x = \dfrac{1}{2}cosx - \dfrac{\sqrt{3}}{2}sinx$
$ ⇔ cos(2x - \dfrac{π}{6}) = cos(x + \dfrac{π}{3})$
@ $ 2x - \dfrac{π}{6} = x + \dfrac{π}{3} + k2π ⇔ x = \dfrac{π}{2} + k2π$ (loại vì ko thỏa $(1)$)
@ $ 2x - \dfrac{π}{6} = - (x + \dfrac{π}{3}) + k2π$
$ ⇔ 3x = - \dfrac{π}{6} + k2π ⇔ x = - \dfrac{π}{18} + k\dfrac{2π}{3} $
Hãy giúp mọi người biết câu trả lời này thế nào?
Bảng tin
0
0
0
lỗi latex bạn ơi :v