

Hãy luôn nhớ cảm ơn và vote 5*
nếu câu trả lời hữu ích nhé!
Đáp án:
\(\left[ \begin{array}{l}a=1\\a=49\end{array} \right.\) Giải thích các bước giải:
Hãy giúp mọi người biết câu trả lời này thế nào?
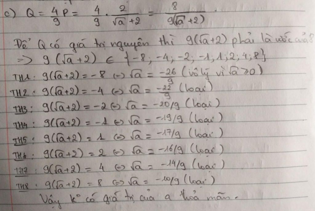
Đáp án:
Không có $a $ thỏa mãn yêu cầu đề bài
Giải thích các bước giải:
Ta có:
$P=\dfrac{2}{\sqrt{{a}+2}}$
$Q=\dfrac{9}{4}P=\dfrac{9}{4}.\dfrac{2}{\sqrt{{a}+2}}=\dfrac{9}{2.(\sqrt{{a}+2)}}$
Ta thấy: $9$ là số lẻ
$2(\sqrt{a}+2)$ là số chẵn
$\Rightarrow 9 \not\vdots 2(\sqrt{a}+2) ∀a$
$\Rightarrow Q$ không thể là số nguyên
Bảng tin
105
-36
56
Bạn ơi vào giúp mình giải toán với ạ
105
-36
56
Trong trang cá nhân mình á
629
12773
582
Bài nào ạ
105
-36
56
Toán ạ