Vui lòng chỉ chọn một câu hỏi
Hoidap247.com Nhanh chóng, chính xác
+
Danh mục mới
0
Hãy luôn nhớ cảm ơn và vote 5* nếu câu trả lời hữu ích nhé!
53468
3081
52929
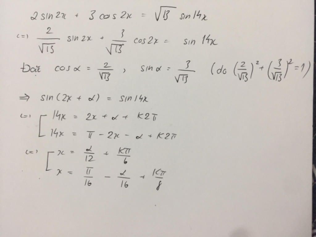
Bạn xem hình
Hãy giúp mọi người biết câu trả lời này thế nào?
10
Làm hộ em bài toán với ạ
Bảng tin
Gửi yêu cầu Hủy
0
10
0
Làm hộ em bài toán với ạ