Vui lòng chỉ chọn một câu hỏi
Hoidap247.com Nhanh chóng, chính xác
+
Danh mục mới
50
963
37
Hãy luôn nhớ cảm ơn và vote 5* nếu câu trả lời hữu ích nhé!
6391
81375
4323
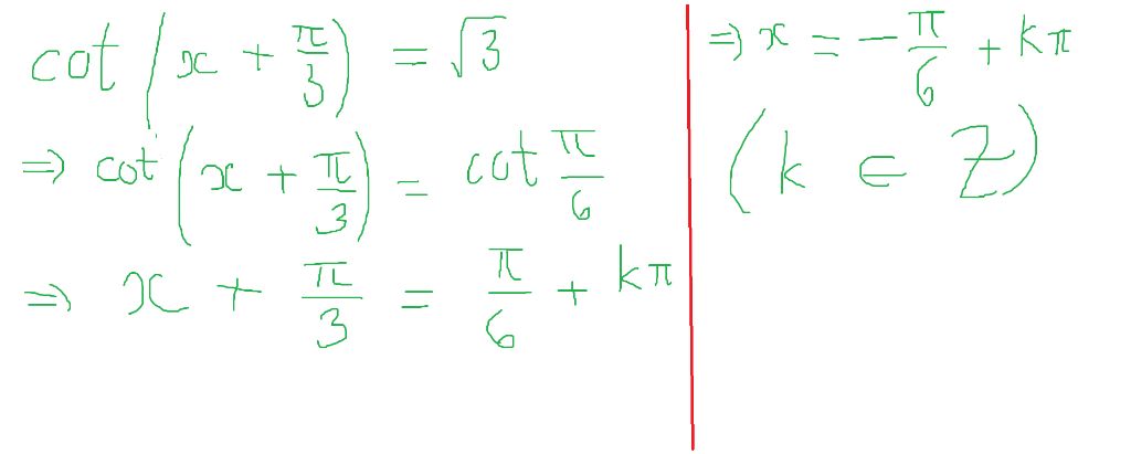
Đáp án: `x = -π/6 + kπ` `(k ∈ ZZ)`
Giải thích các bước giải:
`cot (x + π/3) = sqrt{3}`
`<=> cot (x + π/3) = cot (π/6)`
`<=> x + π/3 = π/6 + kπ`
`<=> x = -π/6 + kπ` `(k ∈ ZZ)`
Hãy giúp mọi người biết câu trả lời này thế nào?
18
21
7
cho mình hỏi là làm như nào để ra cot(pi/6) vậy ạ
394
6831
359
Xin hay nhất
Xin hay nhất nha bạn ơi
Ko có nha bạn
Nó phải hiện ra chữ trả lời hay nhất thì mk ms chọn đc
Chút bạn thứ 2 trả lời xong á. Cho mình nha
Uk
Cảm ơn
Bảng tin
Gửi yêu cầu Hủy
18
21
7
cho mình hỏi là làm như nào để ra cot(pi/6) vậy ạ