Đăng nhập để hỏi chi tiết


Hãy luôn nhớ cảm ơn và vote 5*
nếu câu trả lời hữu ích nhé!
Đáp án:
Bạn tham khảo trong hình.
Giải thích các bước giải:
Hãy giúp mọi người biết câu trả lời này thế nào?
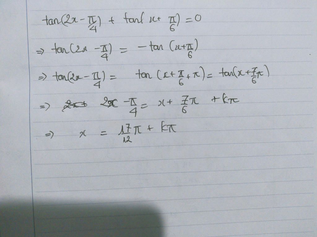
Đáp án: `x = (17π)/12 + kπ` `(k ∈ ZZ)`
Giải thích các bước giải:
`tan (2x - π/4) + tan(x + π/6) = 0`
`<=> tan (2x - π/4) = -tan (x + π/6)`
`<=> tan (2x - π/4) = tan (x + (7π)/6)`
`<=> 2x - π/4 = x + (7π)/6 + kπ`
`<=> x = (17π)/12 + kπ` `(k ∈ ZZ)`
Hãy giúp mọi người biết câu trả lời này thế nào?
Bảng tin