Vui lòng chỉ chọn một câu hỏi
Hoidap247.com Nhanh chóng, chính xác
+
Danh mục mới
1
10
0
Hãy luôn nhớ cảm ơn và vote 5* nếu câu trả lời hữu ích nhé!
179
6511
165
Chúc bạn học tốt ạ!!
Hãy giúp mọi người biết câu trả lời này thế nào?
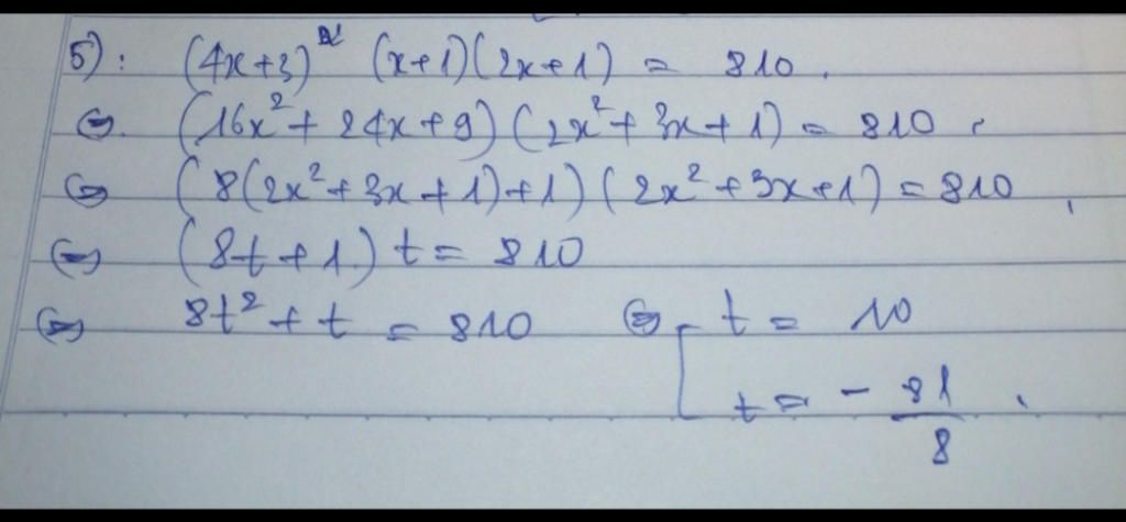
Chữ xấu tí=((
41
1033
14
Bảng tin
Gửi yêu cầu Hủy
179
6511
165
Chữ xấu tí=((