

Hãy luôn nhớ cảm ơn và vote 5*
nếu câu trả lời hữu ích nhé!
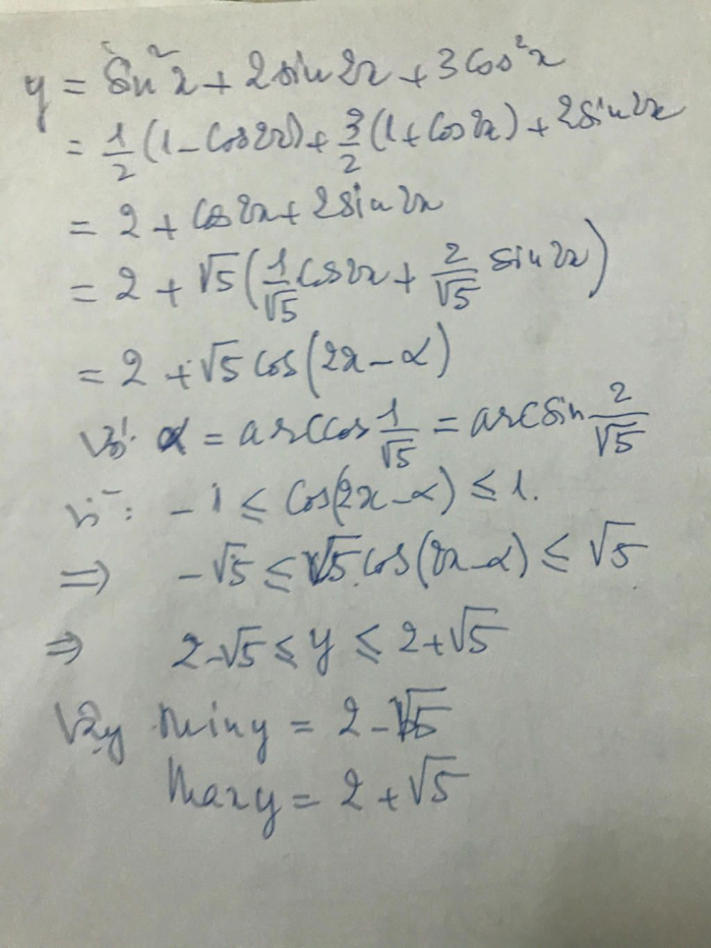
$y = \sin^2x + 2\sin2x + 3\cos^2x$
$\Leftrightarrow y = \dfrac{1- \cos2x}{2} + 2\sin2x + 3.\dfrac{1 + \cos2x}{2}$
$\Leftrightarrow 2y = 1 - \cos2x + 4\sin2x + 3(1 + \cos2x)$
$\Leftrightarrow 2\sin2x + 1\cos2x = y - 2$
Phương trình có nghiệm $\Leftrightarrow 2^2 + 1^2 \geq (y -2)^2$
$\Leftrightarrow (y -2)^2 \leq 5$
$\Leftrightarrow 2 -\sqrt5 \leq y \leq 2 + \sqrt5$
Vậy $\min y = 2 - \sqrt5; \, \max y = 2+\sqrt5$
Hãy giúp mọi người biết câu trả lời này thế nào?

Bảng tin
29
331
11
tương đương thứ 2 sao ra tương đương thứ 3 được ạ?
14800
147
15555
Quy đồng, chuyển vế đổi dấu các kiểu con đà điểu
29
331
11
à hiểu rồi cảm ơn ạ