Đăng nhập để hỏi chi tiết


Hãy luôn nhớ cảm ơn và vote 5*
nếu câu trả lời hữu ích nhé!
Đáp án: `sqrt{x} - 1`
Giải thích các bước giải:
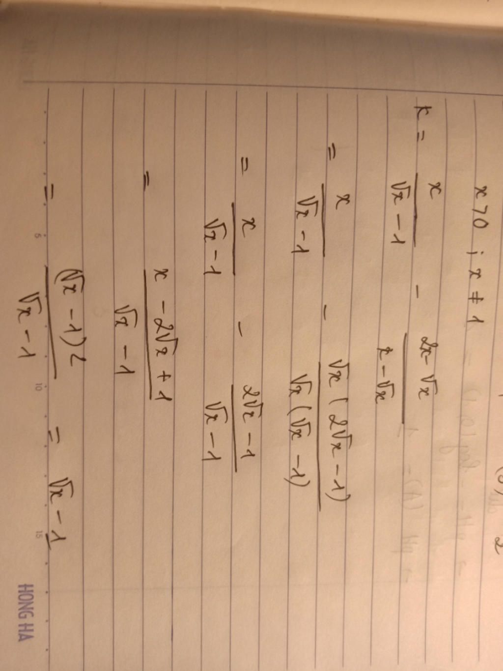
`ĐKXĐ: x ne 1; x > 0`
`K = (x)/(\sqrt{x} - 1) - [\sqrt{x}(2\sqrt{x} - 1)]/[\sqrt{x}(\sqrt{x} - 1)]`
`= (x)/(\sqrt{x} - 1) - (2\sqrt{x} - 1)/(\sqrt{x} - 1)`
`= (x - 2\sqrt{x} + 1)/(\sqrt{x} - 1)`
`= [(\sqrt{x} - 1)²]/(\sqrt{x} - 1)`
`= sqrt{x} - 1`
Hãy giúp mọi người biết câu trả lời này thế nào?
Bảng tin