Vui lòng chỉ chọn một câu hỏi
Hoidap247.com Nhanh chóng, chính xác
+
Danh mục mới
2
5561
0
Hãy luôn nhớ cảm ơn và vote 5* nếu câu trả lời hữu ích nhé!
2583
58325
2463
Đáp án:
Giải thích các bước giải:
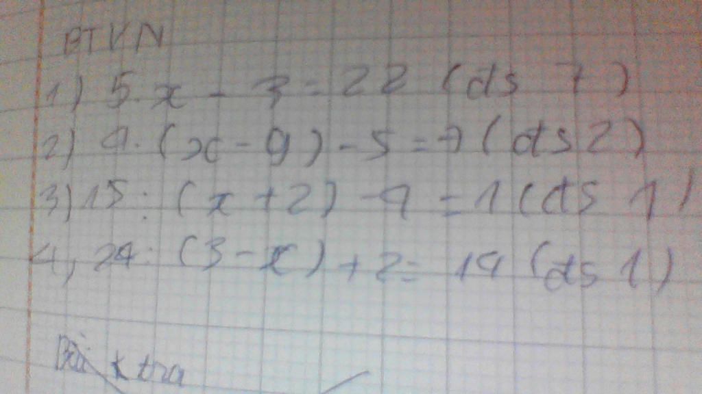
$5x-3=22$
$⇔5x=22+3$
$⇔5x=25$
$⇔x=5$
$4(x-9)-5=7$
$⇒4(x-9)=12$
$⇔x-9=3$
$⇔x=12$
$15:(x+2)-4=1$
$⇔15:(x+2)=5$
$⇔x+2=3$
$⇔x=1$
$24:(3-x)+2=14$
$⇔24:(3-x)=12$
$⇔3-x=2$
Hãy giúp mọi người biết câu trả lời này thế nào?
đúng hết đúng ko bạn
có nha
274
2383
281
Nè bạn
Bảng tin
Gửi yêu cầu Hủy
2
5561
0
đúng hết đúng ko bạn
2583
58325
2463
có nha