

Hãy luôn nhớ cảm ơn và vote 5*
nếu câu trả lời hữu ích nhé!
Đáp án:
Giải thích các bước giải:
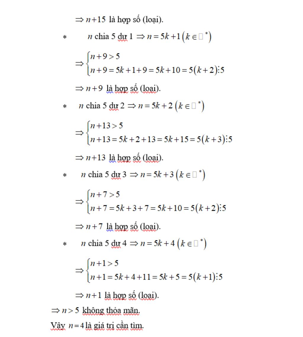
bài 26: xét p=2 thì p+2=2+2=4 (là hợp số)(loại)
xét p=3 thì p+2=5; p+8=11,p+16=19 (TM)
xét p>3 thì p có dạng 3k+1 hoặc 3k+2
TH1: p=3k+1 thì p+2=3k+1+2=3k+3(là hợp số)(loại)
TH2: p=3k+2 thì p+16=3k+2+16=3k+18(là hợp số)(loại)
vậy p=3
các bài khác lm tương tự nhé
Hãy giúp mọi người biết câu trả lời này thế nào?

Bài 25:
a, p+18, p+24, p+26, p+32 cũng là số nguyên tố
Vì p là SNT nên ta xét các trường hợp sau:
-) p= 2 thì p+18= 2+18 = 20 có nhiều hơn 2 ước
vậy p= 2 (Loại)
-) p= 3 thì p+32= 2+32 = 35 có nhiều hơn 2 ước
vậy p= 3 (Loại)
-) p= 5 thì p+18= 5+18 = 23 là số nguyên tố
p+24= 5+24 = 29 là số nguyên tố
p+26= 5+26 = 31 là số nguyên tố
p+32= 5+32 = 37 là số nguyên tố
vây p=5 ( Chọn)
-)p > 5 có 4 dạng
+) p= 5K + 1 thì p+24 = 5K+1 +24= 5K+ 25 có nhiều hơn 2 ước
vậy p= 5K+1 (Loại)
+) p= 5K + 2 thì p+18 = 5K+2 +18= 5K+ 20 có nhiều hơn 2 ước
vậy p= 5K+2 (Loại)
+) p= 5K + 3 thì p+32 = 5K+3 +32= 5K+ 35 có nhiều hơn 2 ước
vậy p= 5K+3 (Loại)
+) p= 5K + 4 thì p+26 = 5K+4 +26= 5K+ 30 có nhiều hơn 2 ước
vậy p= 5K+4 (Loại)
VẬY P = 5 THỎA MÃN
b, p+2, p+10 cũng là số nguyên tố
Vì p là SNT nên ta xét các trường hợp sau:
-) p= 2 thì p+2= 2+2 = 4 có nhiều hơn 2 ước
vậy p= 2 (Loại)
-) p= 3 thì p+2= 3+2 = 5 là số nguyên tố
p+10= 3+10= 13 là số nguyên tố
vậy p=3 (chọn)
-)p > 3 có 2 dạng
+) p= 3K + 1 thì p+2 = 3K+1 +2= 3K+ 3 có nhiều hơn 2 ước
vậy p= 3K+1 (Loại)
+) p= 3K + 2 thì p+10 = 3K+2 +10= 3K+ 12 có nhiều hơn 2 ước
vậy p= 3K+2 (Loại)
VẬY P =3 THỎA MÃN
Bài 26: p+2, p+8, p+16 đều là số nguyên tố
Vì p là SNT nên ta xét các trường hợp sau:
-) p= 2 thì p+2= 2+2 = 4 có nhiều hơn 2 ước
vậy p= 2 (Loại)
-) p= 3 thì p+2= 3+2 = 5 là số nguyên tố
p+ 8 = 3+8= 11 là số nguyên tố
p+ 16 = 3+16= 19 là số nguyên tố
vậy p=3 (chọn)
-)p > 3 có 2 dạng
+) p= 3K + 1 thì p+2 = 3K+1 +2= 3K+ 3 có nhiều hơn 2 ước
vậy p= 3K+1 (Loại)
+) p= 3K + 2 thì p+16 = 3K+2 +16= 3K+ 18 có nhiều hơn 2 ước
vậy p= 3K+2 (Loại)
VẬY P =3 THỎA MÃN
Bài 27
b, 2p+1, 4p+1 cũng là số nguyên tố
Vì p là SNT nên ta xét các trường hợp sau:
-) p= 2 thì 4p+1= 4.2+1 = 9 có nhiều hơn 2 ước
vậy p= 2 (Loại)
-) p= 3 thì 2p+1= 2.3+1 = 7 là số nguyên tố
4p+ 1 = 4.3+1= 13 là số nguyên tố
vậy p=3 (chọn)
-)p > 3 có 2 dạng
+) p= 3K + 1 thì 2.p+2 = 2.(3K+1)+ 1= 6K+3 có nhiều hơn 2 ước
vậy p= 3K+1 (Loại)
+) p= 3K + 1 thì 4.p+2 = 4.(3K+2)+ 1= 12K+9 có nhiều hơn 2 ước
vậy p= 3K+2 (Loại)
VẬY P =3 THỎA MÃN
Hãy giúp mọi người biết câu trả lời này thế nào?
Bảng tin