

Hãy luôn nhớ cảm ơn và vote 5*
nếu câu trả lời hữu ích nhé!
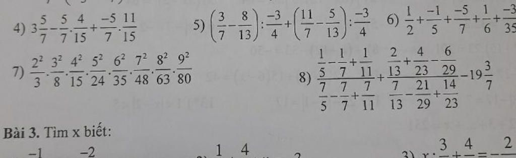
$7$) `{2^2}/3 . {3^2}/8 . {4^2}/{15} . {5^2}/{24} . {6^2}/{35} . {7^2}/{48} . {8^2}/{63} . {9^2}/{80}`
`= {2.2.3.3.4.4.5.5.6.6.7.7.8.8.9.9}/{3.2.4.3.5.4.6.5.7.6.8.7.9.8.10}`
`= {2.2.3.3.4.4.5.5.6.6.7.7.8.8.9.9}/{2.3.3.4.4.5.5.6.7.7.8.9.10}`
`= {2.9}/{10}`
`= {18}/{10}`
`= 1,8`
$8$) `{{1}/{5} - {1}/{7} + {1}/{11}}/{{7}/{5} - {7}/{7} + {7}/{11}} + \frac{{2}/{13} + {4}/{23} - {6}/{29}}{{7}/{13} - {21}/{29} + {14}/{23}} - 19 {3}/{7}`
`= \frac{1(\frac{1}{5} - \frac{1}{7} + \frac{1}{11})}{7(\frac{1}{5} - \frac{1}{7} + \frac{1}{11})} +\frac{2(\frac{1}{13} + \frac{2}{23} - \frac{3}{29})}{7(\frac{1}{13} - \frac{3}{29} + \frac{2}{23})} - 19\frac{3}{7}`
`= \frac{1}{7} + \frac{2}{7} - 19 \frac{3}{7}`
`= \frac{3}{7} - 19\frac{3}{7}`
`= (0-19) + (\frac{3}{7} - \frac{3}{7})`
$= -19$.
Hãy giúp mọi người biết câu trả lời này thế nào?

Bảng tin
4458
115012
4237
Cho mình xin câu trả lời hay nhất nhé!