

Hãy luôn nhớ cảm ơn và vote 5*
nếu câu trả lời hữu ích nhé!

Đây là câu trả lời đã được xác thực
Câu trả lời được xác thực chứa thông tin chính xác và đáng tin cậy, được xác nhận hoặc trả lời bởi các chuyên gia, giáo viên hàng đầu của chúng tôi.
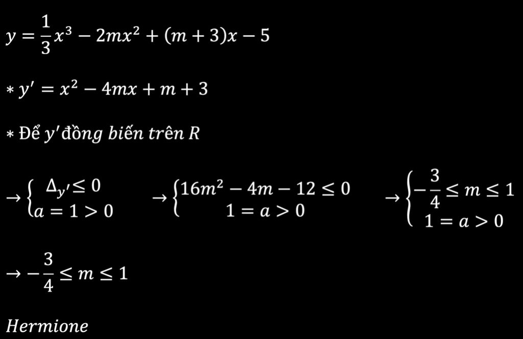
Bạn tham khảo bài
Hãy giúp mọi người biết câu trả lời này thế nào?

Đây là câu trả lời đã được xác thực
Câu trả lời được xác thực chứa thông tin chính xác và đáng tin cậy, được xác nhận hoặc trả lời bởi các chuyên gia, giáo viên hàng đầu của chúng tôi.
Đáp án:
Giải thích các bước giải:
Hãy giúp mọi người biết câu trả lời này thế nào?
Bảng tin
31
876
13
Cái chỗ 16m^2-4m-12 sao ra đc -3/4<m<1 vậy ạ, mik ko hiểu chỗ đấy mong bạn phân tích
3136
53438
3287
Giải bất phương trình.