

Hãy luôn nhớ cảm ơn và vote 5*
nếu câu trả lời hữu ích nhé!
Giải thích các bước giải:
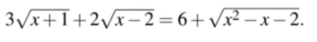
`3sqrt(x+1)+2sqrt(x-2)=6+sqrt(x^2-x-2)`
`=>6+sqrt(x^2-x-2)-3sqrt(x+1)-2sqrt(x-2)=0`
`=>6+sqrt((x+1)(x-2))-3sqrt(x+1)-2sqrt(x-2)=0`
`=>(sqrt((x+1)(x-2))-2sqrt(x-2))-(3sqrt(x+1)-6)=0`
`=>sqrt(x-2)(sqrt(x+1)-2)-3(sqrt(x+1)-2)=0`
`=>(sqrt(x+1)-2)(sqrt(x-2)-3)=0`
`=>`\(\left[ \begin{array}{l}\sqrt{x+1}=2\\\sqrt{x-2}=3\end{array} \right.\) `=>`\(\left[ \begin{array}{l}x+1=4\\x-2=9\end{array} \right.\) `=>`\(\left[ \begin{array}{l}x=3\\x=11\end{array} \right.\)
Hãy giúp mọi người biết câu trả lời này thế nào?

Đáp án:
\(x = 3\) hoặc \(x = 11\)
Giải thích các bước giải:
ĐKXĐ: \(x \ge 2\)
Ta có:
\(\begin{array}{l}
3\sqrt {x + 1} + 2\sqrt {x - 2} = 6 + \sqrt {{x^2} - x - 2} \\
\Leftrightarrow \sqrt {{x^2} - x - 2} + 6 - 3\sqrt {x + 1} - 2\sqrt {x - 2} = 0\\
\Leftrightarrow \sqrt {x - 2} .\sqrt {x + 1} + 6 - 3\sqrt {x + 1} - 2\sqrt {x - 2} = 0\\
\Leftrightarrow \left( {\sqrt {x - 2} .\sqrt {x + 1} - 2\sqrt {x - 2} } \right) - \left( {3\sqrt {x + 1} - 6} \right) = 0\\
\Leftrightarrow \sqrt {x - 2} \left( {\sqrt {x + 1} - 2} \right) - 3.\left( {\sqrt {x + 1} - 2} \right) = 0\\
\Leftrightarrow \left( {\sqrt {x + 1} - 2} \right)\left( {\sqrt {x - 2} - 3} \right) = 0\\
\Leftrightarrow \left[ \begin{array}{l}
\sqrt {x + 1} = 2\\
\sqrt {x - 2} = 3
\end{array} \right. \Leftrightarrow \left[ \begin{array}{l}
x = 3\\
x = 11
\end{array} \right.\,\,\,\,\,\,\,\,\,\,\left( {t/m} \right)
\end{array}\)
Vậy \(x = 3\) hoặc \(x = 11\)
Hãy giúp mọi người biết câu trả lời này thế nào?
Bảng tin
4006
81509
4934
mệt quá
0
3
0
à đây quên :)))
0
3
0
https://hoidap247.com/cau-hoi/1088791 copy sang nữa nè :)
4006
81509
4934
Ok
4006
81509
4934
ok
4006
81509
4934
cho thêm phát hay nhất nữa đi
4006
81509
4934
Ê em
4006
81509
4934
CÒn đó không