

Hãy luôn nhớ cảm ơn và vote 5*
nếu câu trả lời hữu ích nhé!
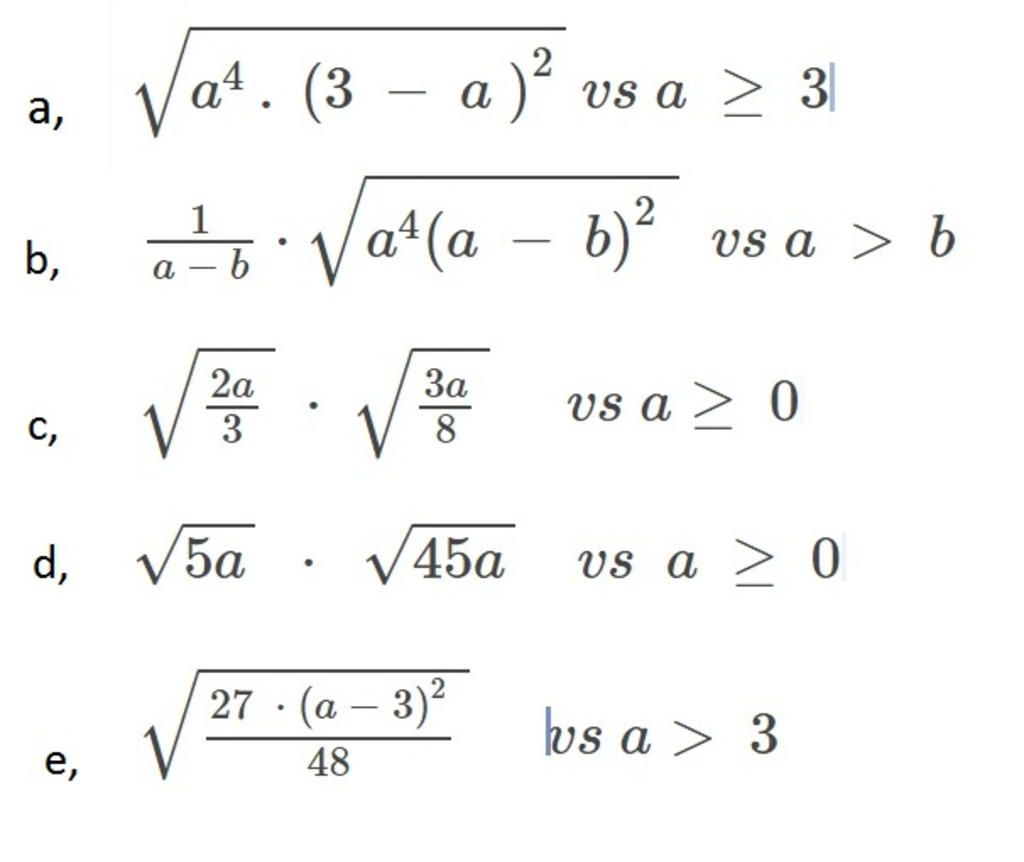
Đáp án:
a, Ta có :
$\sqrt{a^4 . (3 - a)^2}$
$= a^2.|3 - a|$
$ = a^2.(3 - a)$
$ = 3a^2 - a^3$
b, Ta có :
$\dfrac{1}{a - b}$ . $\sqrt{a^4 . (a - b)^2}$
= $\dfrac{1}{a - b} . a^2.|a - b|$
= $\dfrac{a^2.(a - b)}{a - b}$
$= a^2$
c, Ta có :
$\sqrt{\dfrac{2a}{3}}$ . $\sqrt{\dfrac{3a}{8}}$
= $\sqrt{\dfrac{6a^2}{24}}$
= $\sqrt{\dfrac{a^2}{4}}$
= $\sqrt{\dfrac{a^2}{2^2}}$
= |$\dfrac{a}{2}$| = $\dfrac{a}{2}$
d, Ta có :
$\sqrt{5a}$ . $\sqrt{45a}$
= $\sqrt{225a^2}$
= $\sqrt{(15a)^2}$
$= | 15a| = 15a $
e, Ta có :
$\sqrt{ \dfrac{27.( a - 3)^2}{48}}$
= $\sqrt{\dfrac{9.( a - 3)^2}{16}}$
= $\sqrt{ \dfrac{3^2.( a - 3)^2}{4^2}}$
= $\sqrt{ \dfrac{( 3a - 9)^2}{4^2}}$
= $\dfrac{3a - 9}{4}$
Giải thích các bước giải:
Hãy giúp mọi người biết câu trả lời này thế nào?
Đáp án:
Giải thích các bước giải:
$a,\sqrt{a^4(3-a)^2}$
$=a^2.|3-a|$
$=a^2(a-3)$
$=a^3-3a^2$
$b,\dfrac{1}{a-b}.\sqrt{a^4(a-b)^2}$
$=\dfrac{1}{a-b}.a^2|a-b|$
$=\dfrac{1}{a-b}.(a-b)a^2$
$=a^2$
$c,\sqrt{\dfrac{2a}{3}}.\sqrt{\dfrac{3a}{8}}$
$=\sqrt{\dfrac{6a^2}{24}}$
$=\sqrt{\dfrac{a^2}{4}}$
$=\dfrac{a}{2}$
$d,\sqrt{5a}.\sqrt{45a}$
$=\sqrt{225a^2}$
$=15a$
$e,\sqrt{\dfrac{27(a-3)^2}{48}}$
$=\sqrt{\dfrac{9(a-3)^2}{16}}$
$=\dfrac{3|a-3|}{4}$
$=\dfrac{3(a-3)}{4}$
$=\dfrac{3a-9}{4}$
Hãy giúp mọi người biết câu trả lời này thế nào?

Bảng tin