

Hãy luôn nhớ cảm ơn và vote 5*
nếu câu trả lời hữu ích nhé!

Đáp án: $x\in\{5,-5\}$
Giải thích các bước giải:
Ta có:
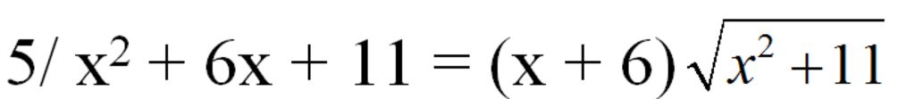
$x^2+6x+11=(x+6)\sqrt{x^2+11}$
$\to (x^2-25)+6(x+6)=(x+6)\sqrt{x^2+11}$
$\to (x^2-25)+(x+6)(6-\sqrt{x^2+11})=0$
$\to (x^2-25)+(x+6)\cdot \dfrac{36-(x^2+11)}{6+\sqrt{x^2+11}}=0$
$\to (x^2-25)-(x+6)\cdot \dfrac{x^2-25}{6+\sqrt{x^2+11}}=0$
$\to (x^2-25)(1-(x+6)\cdot \dfrac{1}{6+\sqrt{x^2+11}})=0$
$\to x^2-25=0\to x=\pm5$
Hoặc $1-(x+6)\cdot \dfrac{1}{6+\sqrt{x^2+11}}=0$
$\to 1=(x+6)\cdot \dfrac{1}{6+\sqrt{x^2+11}}$
$\to 6+\sqrt{x^2+11}=x+6$
$\to \sqrt{x^2+11}=x(*)$
Lại có $\sqrt{x^2+11}>\sqrt{x^2}=|x|\ge x$
$\to (*)$ vô nghiệm
Hãy giúp mọi người biết câu trả lời này thế nào?
Đáp án:
$S =\big\{-5,5\big\}$
Giải thích các bước giải:
Đặt $\sqrt[]{x^2+11} = a$ $(a>0)$
$\to x^2+11 = a^2$
Khi đó phương trình ban đầu trở thành :
$a^2 + 6x = (x+6).a$
$⇔a^2+6x-ax-6a = 0 $
$⇔a.(a-x) -6.(a-x) = 0 $
$⇔(a-x).(a-6) =0 $
$⇔ \left[ \begin{array}{l}a-x=0\\a-6=0\end{array} \right.$ $⇔ \left[ \begin{array}{l}a=x\\a=6\end{array} \right.$
+) Với $a=x$ thì ta có :
$\sqrt[]{x^2+11} = x$ $(ĐK : x ≥0)$
$⇔x^2+11=x^2$
$⇔11=0$ ( Vô lí )
+) Với $a=6$ thì ta có :
$\sqrt[]{x^2+11} = 6$
$⇔x^2+11=36$
$⇔x^2 = 25$
$⇔x=±5$
Vậy phương trình đã cho có tập nghiệm $S =\big\{-5,5\big\}$
Hãy giúp mọi người biết câu trả lời này thế nào?
Bảng tin