Đăng nhập để hỏi chi tiết


Hãy luôn nhớ cảm ơn và vote 5*
nếu câu trả lời hữu ích nhé!

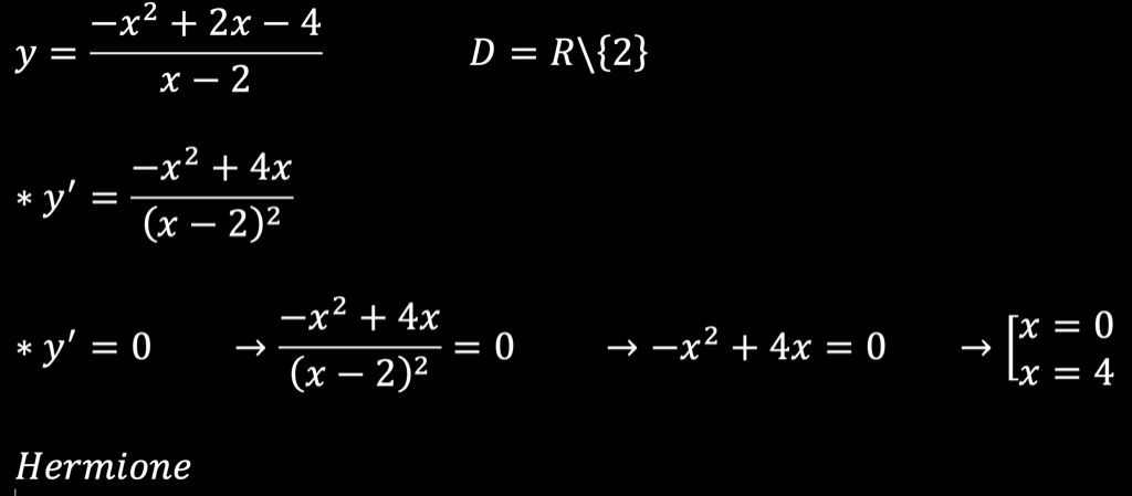
Ta có:
$y'=\dfrac{(-2x+2)(x-2)+x^2-2x+4}{(x-2)^2}$
$=\dfrac{-x^2+4x}{(x-2)^2}$
$→ y'=0 ↔ \left[ \begin{array}{l}x=0\\x=4\end{array} \right.$
Dựa vào bảng biến thiên ta suy ra:
Hàm số đồng biến trên $(0;2)$ và $(2;4)$, nghịch biến trên $(-∞;0)$ và $(4;+∞)$.
Hãy giúp mọi người biết câu trả lời này thế nào?
![]()
Bảng tin
0
5
0
dựa theo u/v hả
3949
57095
4470
đúng rồi