Vui lòng chỉ chọn một câu hỏi
Hoidap247.com Nhanh chóng, chính xác
+
Danh mục mới
0
-64
Hãy luôn nhớ cảm ơn và vote 5* nếu câu trả lời hữu ích nhé!
500
14922
477
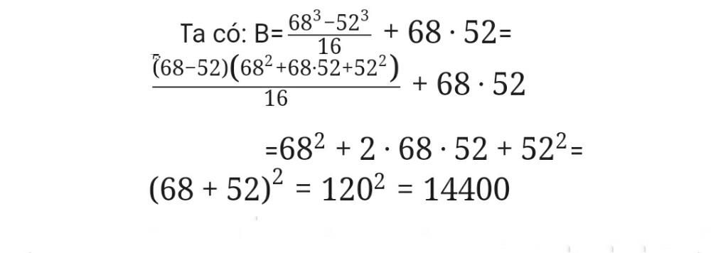
`=>` Bạn xem hình
Viết thiếu ^3 ở 68 nhá
Hãy giúp mọi người biết câu trả lời này thế nào?
Bảng tin
Gửi yêu cầu Hủy