

Hãy luôn nhớ cảm ơn và vote 5*
nếu câu trả lời hữu ích nhé!
Giải thích các bước giải:
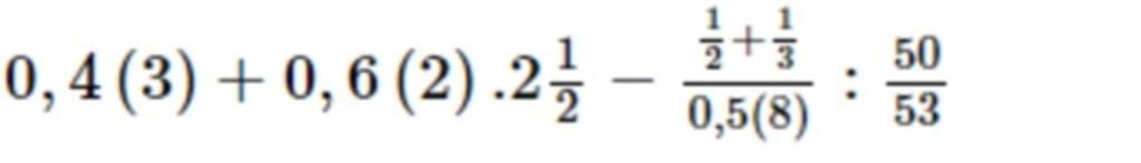
\(0,4(3)+0,6(2).2\frac{1}{2}-\frac{\frac{1}{2}+\frac{1}{3}}{0,5(8)}:\frac{50}{53}\)
Ta có: \(0,4(3)=0,4+0,0(3)=0,4+0,1.0,(3)=\frac{4}{10}+\frac{1}{10}.\frac{1}{3}=\frac{13}{30}\)\(0,6(2)=0,6+0,0(2)=0,6+0,1.0,(2)=\frac{6}{10}+\frac{1}{10}.\frac{2}{9}=\frac{28}{45}\)
\(2\frac{1}{2}=\frac{5}{2};\frac{1}{2}+\frac{1}{3}=\frac{5}{6};0,5(8)=0,5+0,0(8)=0,5+0,1.8.0,(1)=\frac{5}{10}+\frac{1}{10}.8.\frac{1}{9}=\frac{53}{90}\)
Thay các kết quả trên vào biểu thức ban đầu ta được:
\(\frac{13}{30}+\frac{28}{45}.\frac{5}{2}-\frac{\frac{5}{6}}{\frac{53}{90}}:\frac{50}{53}=\frac{13}{30}+\frac{14}{9}-\frac{5.90}{6.53}.\frac{53}{50}\)\(=\frac{13}{30}+\frac{14}{9}-\frac{3}{2}=\frac{13.3+14.10-3.45}{90}=\frac{44}{90}=\frac{22}{45}\)
Lưu ý: em cần nhớ 0,(1) = 1/9 nhé
Hãy giúp mọi người biết câu trả lời này thế nào?
Bảng tin