Tham Gia Group Dành Cho Lớp 9 - Ôn Thi Vào Lớp 10 Miễn Phí
Phiếu bài tập này của:.
.Lớp
.......
PHIẾU HÌNH 3. HỆ THỨC LƯỢNG TRONG TAM GIÁC VUÔNG
TỈ SÓ LƯỢNG GIÁC CỦA GÓC NHỌN (tiếp)
1. Hệ thức lượng;
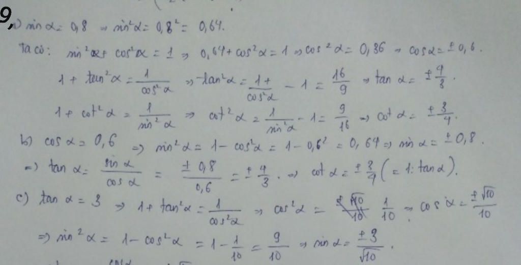
2. Ti số lượng giác;
3. Đặt ẩn phụ;
4. Đồng dạng, talet;
5. Min, max hình học.
Bài 1. Cho hình thang vuông ABCD có ZA= ZB =90°, AB = AD=2cm,DC =2 ...