

Hãy luôn nhớ cảm ơn và vote 5*
nếu câu trả lời hữu ích nhé!
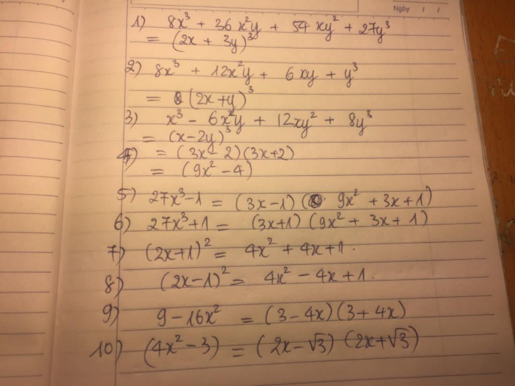
Đáp án:
Giải thích các bước giải:
1/ $8x^3+36x^y+54xy^2+27y^3=(2x+3y)^3$
2/ $8x^3+12x^2y+6xy^2+y^3=(2x+y)^3$
3/ $x^3-6x^2y+12xy^2-8y^3=(x-2y)^3$
4/ $(3x-2)(3x+2)=9x^2-4$
5/ $27x^3-1=(3x-1)(9x^2+3x+1)$
6/ $27x^3+1=(3x+1)(9x^2-3x+1)$
7/ $(2x+1)^2=4x^2+4x+1$
8/ $(2x-1)^2=4x^2-4x+1$
9/ $9-16x^2=(3-4x)(3+4x)$
10/ $4x^2-3=(2x-\sqrt{3})(2x+\sqrt{3})$
Chúc bạn học tốt !!!
Hãy giúp mọi người biết câu trả lời này thế nào?

Bảng tin
1
57
0
cảm ơn bạn giỏi quá