Vui lòng chỉ chọn một câu hỏi
Hoidap247.com Nhanh chóng, chính xác
+
Danh mục mới
0
914
Hãy luôn nhớ cảm ơn và vote 5* nếu câu trả lời hữu ích nhé!
26
7363
40
Đáp án:
Giải thích các bước giải:
Hãy giúp mọi người biết câu trả lời này thế nào?
Cam on bai nay thuc la hay
55
thank
1490
10646
1012
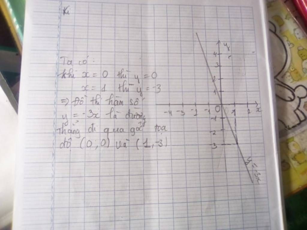
Với $x=0\Rightarrow y=-3x=-3.0=0$ gọi O(0;0)
Với $x=1\Rightarrow y=-3x=-3.1=-3$ gọi A(1;-3)
Vậy đồ thị hàm số $y=-3x$ là đường thẳng đi qua điểm $O(0;0)$ và $A(1;-3)$
Ta có đồ thị hàm số như hình vẽ.
Bảng tin
Gửi yêu cầu Hủy
0
40
0
Cam on bai nay thuc la hay
0
55
0
thank