Vui lòng chỉ chọn một câu hỏi
Hoidap247.com Nhanh chóng, chính xác
+
Danh mục mới
116
2599
63
Hãy luôn nhớ cảm ơn và vote 5* nếu câu trả lời hữu ích nhé!
18
295
14
Xem hik
Hãy giúp mọi người biết câu trả lời này thế nào?
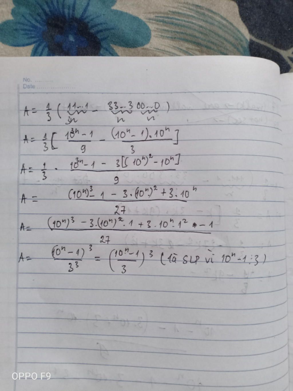
đề từ trong sách nâng cao phát triển bạn ạ
mình cũng thấy đề bài sai
tại vì có cái vế âm sao ra đc
Bảng tin
Gửi yêu cầu Hủy
116
2599
63
đề từ trong sách nâng cao phát triển bạn ạ
116
2599
63
mình cũng thấy đề bài sai
116
2599
63
tại vì có cái vế âm sao ra đc